Buenas, me podrían ayudar con este ejercicio:
Sea E un k-espacio vectorial y f un endomorfismo de E. Prueba las siguientes afirmación:
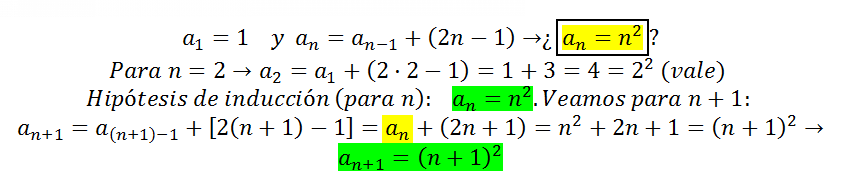
Si λ es un valor propio de f, entonces λ2 es un valor propio de f2.
Gracias de antemano
No tengo idea de cómo resolver el siguiente ejercicio, por más que le doy vueltas. ¿Me podéis decir el paso a paso? Mil gracias.![]()

Observa que x toma valores mayores o iguales que cero, y observa que puedes dividir los polinomios en la expresión (el cociente es 5 y el resto es 20x - 60), y queda:
y = 5 + (20x - 60)/(x2 + 7).
Luego, pasamos al ejercicio:
a)
Planteamos:
y ≥ 0, sustituimos y queda:
5 + (20x - 60)/(x2 + 7) ≥ 0, hacemos pasaje de término y queda:
(20x - 60)/(x2 + 7) ≥ - 5, hacemos pasaje de divisor como factor (observa que el denominador es estrictamente positivo) y queda:
20x - 60 ≥ - 5(x2 + 7), distribuimos y queda:
20x - 60 ≥ - 5x2 - 35, hacemos pasajes de términos, reducimos términos semejantes y queda:
5x2 + 20x - 25 ≥ 0, dividimos por 5 en todos los términos de la inecuación y queda:
x2 + 4x - 5 ≥ 0, factorizamos el primer miembro y queda:
(x - 1)(x + 5) ≥ 0, cuya solución es: x ≤ - 5 o x ≥ 1, por lo que tenemos: x ≥ 1 (recuerda que x toma valores positivos).
b)
Planteamos la expresión de la derivada primera (queda para que realices el planteo):
y ' = (- 20x2 + 120x + 140)/(x2 + 7)2,
luego planteamos la condición de punto crítico (posible máximo o posible mínimo).
y ' = 0, sustituimos y queda:
(- 20x2 + 120x + 140)/(x2 + 7)2 = 0, hacemos pasaje de divisor como factor (observa que el divisor es estrictamente mayor que cero) y queda:
- 20x2 + 120x + 140 = 0, dividimos en todos los términos de la ecuación por -20 y queda:
x2 - 6x - 7 = 0, que es una ecuación polinómica cuadrática cuyas soluciones son: x = - 1 y x = 7 (recuerda que x toma valores positivos),
luego evaluamos:
y(6) = 275/43 ≅ 6,395
y(7) = 360/56 ≅ 6,429
y(8) = 455/71 ≅ 6,408,
luego concluimos que la función alcanza un máximo para x = 7, y que el valor de la función es: y(7) = 360/56 = 45/7 ≅ 6,429.
c)
Observa que la función toma valores negativos en el intervalo [0,1),
observa que toma el valor cero para x = 1,
y observa que toma valores positivos en el intervalo (1,+∞).
Luego, para establecer el valor al que tiende la función a muy largo plazo, planteamos el límite para x tendiendo a + infinito:
Lím(x→+∞) ( 5 + (20x - 60)/(x2 + 7) ) = 5 + 0 = 5 (*),
por lo que concluimos que a muy largo plazo la función tiende a 5.
(*) Observa que el segundo término puede escribirse:
(20x - 60)/(x2 + 7) = (20x/x2 - 60/x2)/(x2/x2+ 7/x2) = (20/x - 60/x2)/(1 + 7/x2),
y observa que el numerador tiende a cero y el denominador tiende a uno, cuando x tiende a + infinito.
Espero haberte ayudado.
Buenos días:
Acabo de ver el vídeo de reducción de ángulos al 1er cuadrante y tengo el siguiente ejercicio:
Me piden expresar en radianes los ángulos 150º, 135º, 240º, 300º y 270º sabiendo que son múltiplos de 30º, 45º, 60º y 90º.
Yo haría.
150º = 60º + 90º. Por tanto bajo la equivalencia de 180º=πrad, calculo los radianes de 60º y 90º y son igual al de 150º.
Pero entonces el cálculo de radianes no tendría que ver nada con el cálculo de las razones trigonométricas en la reducción de ángulos al 1er cuadrante, no sé sí me explico ya que calcular el sen o cos de un ángulo de por ejemplo 180-α hacemos su reducción al primer cuadrante y los datos son más fáciles. Pero claro en mi ejemplo calcular radianes, yo puedo descomponer el ángulo como arriba:
135º = 90º + 45º
240º= 90º + 60º+60º+30º
270º no hace falta hacer nada.
Es un ejercicio de 4 ESO, me gustaría me dierais vuestra opinión, si hago bien la descomposión de estos ángulos.
Gracias
Rocío

Recuerda la equivalencia: 180° = π rad.
Luego puedes plantear:
180*1° = π rad, haces pasaje de factor como divisor y queda:
1° = (π rad/180) (este es el factor de conversión de grados a radianes).
Luego tienes:
90° = 90*1° = 90*(π rad/180) = π rad / 2 = simplificamos = (π/2) rad;
45° = (1/2)*90° = (1/2)*(π/2) rad = (π/4) rad;
30° = (1/3)*90° = (1/3)*(π/2) rad = (π/6) rad;
60° = 2*30°= 2*(π/6) rad = (π/3) rad.
Luego, pasas al ejercicio:
150° = 5*30° = 5*(π/6) rad = (5π/6) rad;
135° = 3*45° = 3*(π/4) rad = (3π/4) rad;
240° = 4*60° = 4*(π/3) rad = (4π/3) rad;
300° = 5*60° = 5*(π/3) rad = (5π/3) rad;
270° = 3*90° = 3*(π/2) rad = (3π/2) rad.
Observa que a todos los ángulos los hemos expresado como múltiplos enteros de los ángulos que tenemos como datos en el enunciado.
Observa que en tu trabajo has expresado los ángulos como suma de ángulos que tienes como datos en el enunciado, que es otra forma para plantear el ejercicio.
Espero haberte ayudado.
Hola nuevamente, disculpadme por la contínua ayuda que les pido con este otro problema que me parece que conlleva a la geometría o trigonómetria. Gracias gracias nuevamente..

Observa que m(OÂB) = m(DÔC) = 20°, porque los ángulos OÂB y DÔC son correspondientes entre rectas paralelas (AB y OC.
Luego, traza el radio OB, y tienes que el triángulo AOB es isósceles, por lo que tienes: m(ABO) = 20° y m(AÔB) = 140°.
Luego, observa que la suma de las medidas de los ángulos DÔC, CÔB y BÔA es 180°, por lo que tienes: m(CÔB) = 20°.
Luego, como las medidas de los ángulos centrales DÔC y CÔB son iguales, tienes que las longitudes de los arcos DC y CB son iguales,
por lo que concluimos que la razón entre sus longitudes es igual a 1.
Espero haberte ayudado.

Comencemos por estudiar cada término por separado:
Para el primer término:
|3x + 2| =
3x + 2 si 3x + 2 ≥ 0
-(3x + 2) si 3x + 2 < 0
luego distribuimos, despejamos y queda:
|3x + 2| =
3x + 2 si x ≥ -2/3 (A)
-3x - 2 si x < -2/3 (B).
Para el segundo término:
|x - 1| =
x - 1 si x - 1 ≥ 0
-(x - 1) si x - 1 < 0
luego distribuimos, despejamos y queda:
|x - 1| =
x - 1 si x ≥ 1 (C)
-x + 1 si x < 1 (D)
Luego, observa que tienes la inecuación:
|3x + 2| + |x - 1| ≤ 5, y observa que tenemos cuatro opciones, que resultan de considerar las combinaciones:
1) A con C, que corresponde a x ≥ -2/3 y x ≥ 1 , sustituimos expresiones y la inecuación queda:
3x + 2 + x - 1 ≤ 5, reducimos términos semejantes y queda:
4x + 1 ≤ 5, de donde podemos despejar: x ≤ 1, que conduce al conjunto unitario: {1}..
2) A con D, que corresponde a x ≥ -2/3 y x < 1, sustituimos expresiones y la inecuación queda:
3x + 2 - x + 1 ≤ 5, reducimos términos semejantes y queda:
2x + 3 ≤ 5, de donde podemos despejar: x ≤ 1, que conduce al subintervalo: [-2/3,1).
3) B con C, que conduce a x < -2/3 y x ≥ 1, que conduce al subintervalo vacío (observa que la dos inecuaciones son incompatibles).
4) B con D, que conduce a x < -2/3 y x < 1, sustituimos expresiones y la inecuación queda:
- 3x - 2 - x + 1 ≤ 5, reducimos términos semejantes y queda:
- 4x - 1 ≤ 5, hacemos pasaje de término y queda:
- 4x ≤ 6, hacemos pasaje de factor como divisor (observa que cambia la desigualdad) y despejamos: x ≥ -3/2, que conduce al subintervalo [-3/2,-2/3).
Luego, planteamos que el intervalo solución es la unión de los subintervalos y el conjuntode las opciones y queda:
S = [-3/2,-2/3) ∪ [-2/3,1) ∪ {1} = [-3/2,1].
Espero haberte ayudado.