Buenas unicoos podrían ayudarme en la resolución de estos problemas de programación lineal, es que no se como hacer el planteamiento para poder resolverlo.![]()

¡Hola! Nos encantaría ayudarte, pero no solemos responder dudas universitarias que no tengan que ver específicamente con los vídeos que David Calle ha grabado como excepción. O de otras asignaturas que no sean Matemáticas, Física y Química. Lo sentimos de corazón… Esperamos que lo entiendas.
Ojalá algún unicoo universitario se anime a ayudarte (de hecho, lo ideal es que todos los universitarios intentarais ayudaros los unos a los otros).
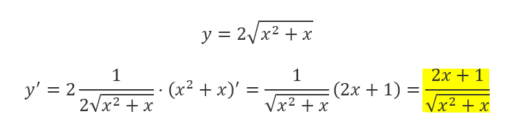
Tengo una duda con una derivada. El enunciado es:
y=2√x2+x
Al resolverla me da como resultado x2 pero en mi libro de texto el resultado es:
2x + 1 / √x2+x
Gracias por la ayuda
Tengo que a es dividido por b, con cociente 5 y resto 5 , siendo a menor a 50. Yo creo que la solución es... a= 30,35,40,45 y b=5,6,7,8 . Tenía que hallar las diferentes formas de realizarlo! Creen que está bien o no? AYUDA!
Hola unicoos, En que campo de la ingeniería podría utilizar las Derivadas Direccionales, aplicaciones físicas?
Me seria de gran utilidad si fuera en el campo de la informática, electrónica...
Hola unicoos!! me pueden ayudar con esto??
lim x5 + x3 - 4x
x→0+ ---------------------------
x3 - x2
es una división
desde ya muchas gracias!!
Hola buenas, llevo un buen rato intentando resolver este problema de logaritmos, podríais ayudarme?
Si log Α=0,3548 y log Β=1,1213, calcula el valor de; log (A2 /B3 )1/4
Me pide que lo desarrolle utilizando las propiedades de los logaritmos.
Gracias por adelantado!!
Buenas, tengo una duda. Sería uniformemente continua la función f: B((0,0),1) → ℛ, dada por f(x,y) = (x*y)/(x-1)
Un saludo y gracias de antemano.

¡Hola! Nos encantaría ayudarte, pero no solemos responder dudas universitarias que no tengan que ver específicamente con los vídeos que David Calle ha grabado como excepción. O de otras asignaturas que no sean Matemáticas, Física y Química. Lo sentimos de corazón… Esperamos que lo entiendas.
Ojalá algún unicoo universitario se anime a ayudarte (de hecho, lo ideal es que todos los universitarios intentarais ayudaros los unos a los otros).

Tienes la ecuación cartesiana implícita de la curva a la cuál pertenece el punto en estudio:
y2 - x = 0, aquí restas y2 en ambos miembros, y queda:
-x = -y2, aquí multiplicas en ambos miembros por -1, y queda:
x = y2, que es una ecuación cartesiana explícita de la curva, pero para la variable x;
luego, si designas a la variable y como parámetro, planteas la expresión de la función vectorial de posición para los puntos de la curva, y queda:
r(y) = < y2 , y >, planteas la expresión del vector tangente genérico, y queda:
r ' (y) = < 2y , 1 >, evalúas para el punto en estudio: A(1,1), y queda:
r ' (1) = < 2 , 1 > = u, que es la expresión del vector tangente evaluado,
cuyo módulo es: |u| = √(5).
Luego, tienes la expresión de la función:
f(x,y) = x*ey, que es una función continua en R2, cuyas derivadas parciales quedan expresadas:
fx(x,y) = ey, que es continua en R2,
fy(x,y) = x*ey, que es continua en R2,
por lo que tienes (revisa tus apuntes de clase) que la función es diferenciable en R2,
y la expresión de su vector gradiente evaluado en el punto en estudio queda:
∇f(1,1) = < fx(1,1) , fx(1,1) > = < e , e >.
Luego, como la función es diferenciable en el punto en estudio (y en todo R2), puedes plantear la expresión de la derivada direccional en el punto en estudio en función del vector gradiente evaluado, y del vector tangente unitario correspondiente, y queda:
Duf(1,1) = ∇f(1,1) • u/|u|, sustituyes expresiones, y queda:
Duf(1,1) = < e , e > • < 2 , 1 >/√(5), desarrollas el producto escalar, y queda:
Duf(1,1) = ( 2e + e )/√(5) = 3e/√(5), multiplicas por √(5) en el numerador y en el denominador, y queda:
Duf(1,1) = 3√(5)e/5,
Espero haberte ayudado.
Hola buenos días tengo una duda,
La ecuación (x+1) al cuadrado +(y-1)al cuadrado =3. Corresponde a la circunferencia :
A) centro =(-1,1) y r=3
B) centro =(1, - 1) y r=a raíz cuadrado de 3
C) centro=(-1,1) y r=a raíz cuadrado de 3
Según yo creo debería ser la b, por que si sustituyes los datos son (1,-1) y r=raíz cuadrado de 3.
Pero el libro dice que es la c. No lo entiendo me lo podéis explicar?
Gracias y un saludo