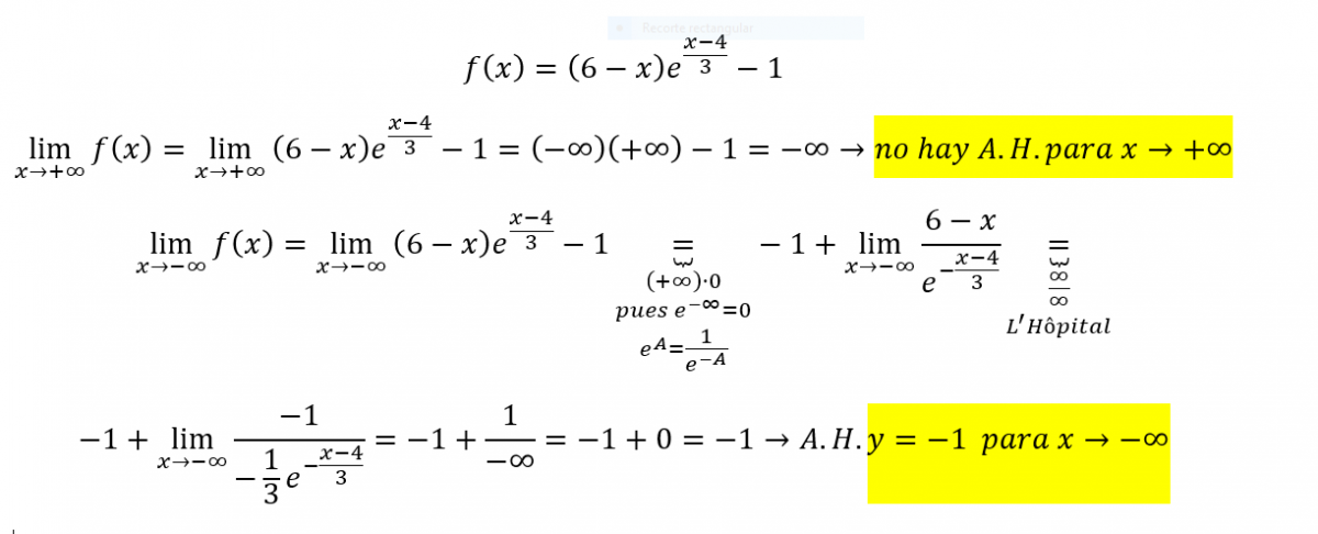
Hola unicos. En el ejercicio de hallar la asintita habria que hacer el limite cuando la x tiende a menos infinito de la funcion. En clase siempre hemos hallado el limite cuando x tiende a infinito. Es necesario hacerlo por las dos partes?![]()
Por favor, me podríais resolver estos dos ejercicios. Muchas gracias!!

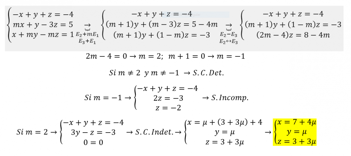
Buenas! Puede alguien por favor decime en qué me he equivocado, no me da bien el resultado?

Desarrollamos la indicación del colega Antonio.
Debes tener muy en cuenta que la multiplicación de matrices no es conmutativa, por lo que es necesario considerar la lateralidad al multiplicar o al extraer factores comunes.
Tienes la ecuación matricial:
A*X = C + B*X, restas B*X en ambos miembros de la ecuación, y queda:
A*X - B*X = C, extraes factor común derecho en el primer miembro, y queda:
(A-B)*X = C,
multiplicas por izquierda en ambos miembros por la matriz inversa de la matriz (A-B), y queda:
(A-B)-1*( (A-B)*X ) = (A-B)-1*C,
aplicas la ley asociativa de la multiplicación de matrices en el primer miembro, y queda:
( (A-B)-1*(A-B) )*X = (A-B)-1*C,
resuelves el producto entre matrices inversas entre sí en el agrupamiento, y queda:
I*X = (A-B)-1*C,
aplicas la ley de existencia del elemento neutro en la multiplicación de matrices (observa que en esta ecuación todas las matrices son cuadradas), y queda:
X = (A-B)-1*C.
Espero haberte ayudado.
Hola tengo una duda extraña con la regla de l'hopital y es que quisiera saber como puedo saber cuantas veces es necesario aplicarla porque por ejemplo, en un ejercicio han derivado dos veces en la solucion y han llegado a 0 y yo derivando 4😅 he llegado a -2
Ayudaaaaaaa
A) Para alambrar un campo rectangular se necesitan 100 m de alambre. Para ver cómo
varía la profundidad del campo en función del ancho, escribimos la profundidad (y) en
función del ancho (x) como y = 50 - x. ¿Cuál de los siguientes conjuntos representan los
valores que puede tomar x, para que tenga sentido el problema?
*R
*el intervalo cerrado [0,50]
*el intervalo abierto (0,50)
*En el mismo problema, si x (0,50), ¿qué conjunto representa los valores que puede
tomar y?
B) Las entradas a una cancha cuestan $12 las populares y $25 las plateas: Si se
recaudaron $70.650, ¿cuántas plateas y cuántas populares se vendieron? ¿Hay más de
una respuesta posible?
Hola, alguien me ayuda con este problema por favor!!!!
Una pileta se vacía con una bomba que extrae agua a razón de 500 litros por minuto.
Al encender la bomba, en la pileta había 25.000 litros de agua. ¿Cuál es el gráfico que
representa esta situación de descarga de agua? Plantea la función que exprese la
cantidad de agua remanente en la pileta (V) a medida que transcurre el tiempo. V=f(t).

Tienes que en el instante inicial (ti = 0) el volumen inicial es Vi = 25000 l, por lo que tienes que en un gráfico tiempo-volumen, la situación inicial queda representada por el punto: A(0,25000).
Luego, como el caudal que extrae la bomba es 500 l/min, tienes que para el instante: t1 = 1 min, la bomba ha extraído 500 l, por lo que el volumen que queda en la pileta es: V1 = 25000 - 500 = 24500 l, por lo que tienes que en el gráfico esta situación queda representada por el punto: B(1,24500).
Luego, tienes que la gráfica corresponde a una recta (esto se debe a que el caudal de agua que extrae la bomba es constante), cuya pendiente es: m = -500 l/min (observa que el signo negativo se debe a que el volumen de agua en la pileta disminuye a medida que transcurre el tiempo.
Luego, con el valor de la pendiente (m = -500) y las coordenadas del punto A(0,25000), puedes plantear la ecuación cartesiana punto-pendiente de la recta:
V = -500*(t - 0) + 25000,
distribuyes el primer término, cancelas el término nulo, y queda:
V = -500*t + 25000,
que es la expresión del volumen de agua que hay en la pileta en función del tiempo transcurrido desde que la bomba extrae agua de la misma, y observa que el punto B pertenece a la recta que es gráfica de esta función.
Luego, si tienes que determinar el instante en que la pileta queda vacía, puedes plantear:
V = 0,
sustituyes la expresión remarcada, y queda:
-500*t + 25000 = 0,
divides por -500 en todos los términos de la ecuación, y queda:
t - 50 = 0,
sumas 50 en ambos miembros de la ecuación, y queda:
t = 50 min,
por lo que tienes que la pileta queda vacía luego de hacer funcionar a la bomba durante cincuenta minutos.
Espero haberte ayudado.