Buenas Tardes Unicoos,
Tengo un problema al solucionar el problema siguiente:
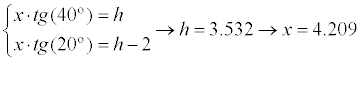
Desde un punto en el suelo, observamos la copa de un árbol desde un ángulo de 40 º pero a una altura de 2 metros, observamos la misma copa del árbol desde un ángulo de 20º.
Cuál es la distancia respecto al árbol ? y su Altura ?

Hola Ericka! Perdona por no haberte contestado antes... La solución de tu ejercicio es compleja de explicar por escrito.
Te sugiero además que lo intentes despues de ver los videos de este tema.. Programación lineal
Gracias por tu fidelidad y por estar siempre ahí. LoveU