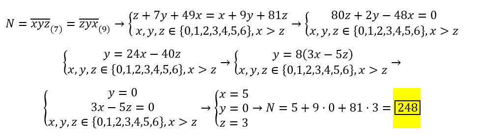
Si un número se escribe en base tres con seis cifras, ¿cuántas cifras podrá tener en el sistema de base once?
Es posible que sea?:
(222222)3 = 728 = (602)11
He elegido el (222222) ya que es el número más grande en base 3. Está bien así o está mal planteado?

Se trata de que DESPUES DE IR A CLASE (ver los vídeos relacionados con vuestras dudas) enviéis dudas concretas, muy concretas. Y que nos enviéis también todo aquello que hayais conseguido hacer por vosotros mismos. Paso a paso, esté bien o mal. No solo el enunciado, pero no olvidéis de adjuntarlo de forma LITERAL, para saber que os piden. De esa manera podremos saber vuestro nivel, en que podemos ayudaros, cuales son vuestros fallos.... Y el trabajo duro será el vuestro. Nos cuentas ¿ok? #nosvemosenclase ;-)

La suma de funciones continuas en [0,1] es continua en [0,1] con lo cual la suma es una operación interna en C[0,1]
La suma de funciones continuas en [0,1] es commutativa y asociativa, el elemento neutro es la función constante f(x)=0. El opuesto de f(x) es -f(x). Por tanto es un grupo commutativo.
Hola a todos! Tengo que encontrar las raíces en esta función polinomica pero necesito saber cómo hacer si por Rufini y teorema del resto no las puedo encontrar.. 😢
Sé que corta al eje X en números decimales.. Pero cómo las hallo?
Si me ayudan se los agradeceré 🙏😊

No tiene raices enteras. Puedes resolverlo aquí:
https://es.calcuworld.com/calculadoras-matematicas/ecuaciones-tercer-grado/
Hola Unicoos!!!
Espero me puedan ayudar a hacer la función del ejercicio 1) a)
No no sé cómo hacer el cálculo de la exponencial en la calculadora científica. ( No sé que teclas tocar para que me haga la función exponencial)
Sé que el resultado es 14061 ballenas pero repito no sé como usar la calculadora para este cálculo... Les dejo el enunciado de la prueba y lo que hice...
Muchas gracias de antemano!![]()
![]()