En -7 x 3 + 7 x (-5) El factor común es -7, ¿por qué -7 si el otro común es 7 positivo? ¿son comunes aunque tengan distinto signo? ¿por qué elige el negativo?

Recuerda la identidad:
x = (-x)*(-1), para todo número real x, por lo que tienes: 7 = -(-7) = (-7)*(-1).
Luego, tienes la expresión de tu enunciado:
-7*3 + 7*(-5) =
reemplazas la expresión remarcada en el primer factor del segundo término, y queda:
= -7*3 + (-7)*(-1)*(-5) =
extraes factor común, y queda:
= -7*( 3 + (-1)*(-5) ).
Espero haberte ayudado.
En las integrales inmediatas, se puede multiplicar y dividir por x si te faltara en la derivada de la función?
¿Cuál es la pregunta?
Su pregunta es bastante confusa. ¿Podría darnos un ejemplo de su problema al que se refiere y decirnos exactamente lo que quiere saber?
No sabemos qué quiere decir con "las integrales inmediatas", ni a qué quieres multiplicar o dividir por x.
Si tienes dos funciones f,g que son iguales en todas partes excepto en un punto, entonces sus integrales en el sentido de Riemann son las mismas. Las funciones f y xf/x son iguales en todas partes, excepto en un punto, x=0.
Es por eso que multiplicar y dividir por x no cambia el valor de la integral ya que es una transformación que sólo puede cambiar la función en (máximo) un punto.
Saludos.
Buenas noches, me piden que clasifique y pase a ecuación canónica esta cónica, yo creo que es una hipérbola pero no se como pasarla a canónica, como puedo hacer? Muchas gracias

Vamos con una orientación.
Tienes la ecuación cartesiana implícita de una cónica, cuya forma general es:
a*x2 + b*x*y + c*y2 + d*x + e*y + f = 0.
Luego, plantea las ecuaciones de rotación de ejes:
x = X*cosθ - Y*senθ (1),
y = X*senθ + Y*cosθ (2);
con la condición que debe cumplir la medida del ángulo de rotación para eliminar el término rectangular en la ecuación implícita de la cónica:
tan(2*θ) = b/(a-c);
luego, reemplazas los valores de los coeficientes de los términos cuadráticos que tienes en la ecuación de tu enunciado (a = 3, b = -4, c = -4), y queda:
tan(2*θ) = -4/7, compones en ambos miembros con la función inversa de la tangente, y queda:
2*θ ≅ 150,26°, divides por 2 en ambos miembros, y queda:
θ ≅ 75,13°, que es la medida del ángulo de rotación.
Luego, reemplazas en las ecuaciones señaladas (1) (2) y tendrás las expresiones de las coordenadas originales (x e y) en función de las nuevas coordenadas (X e Y), y luego sustituyes sus expresiones en la ecuación cartesiana de tu enunciado, y de ahí en más solo queda que completes cuadrados y continúes la tarea hasta obtener la ecuación canónica de la cónica correspondiente.
Espero haberte ayudado.
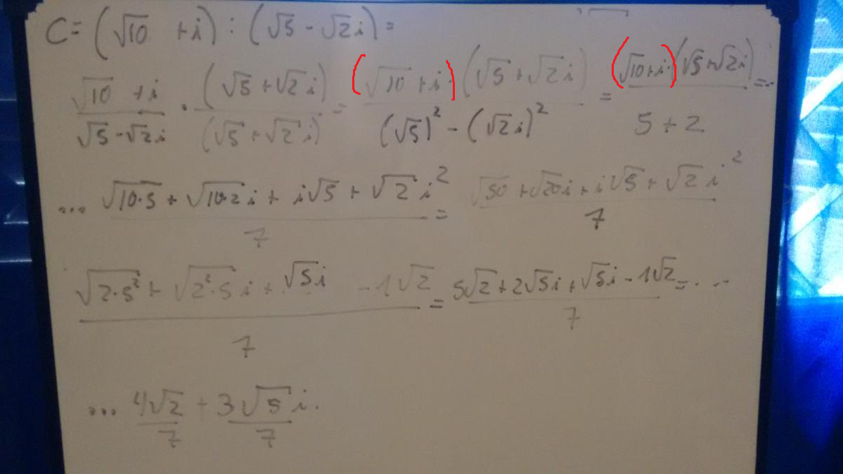
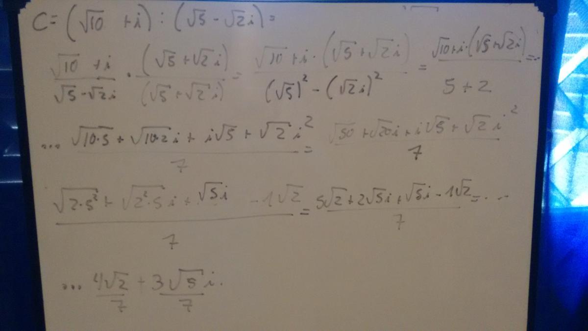
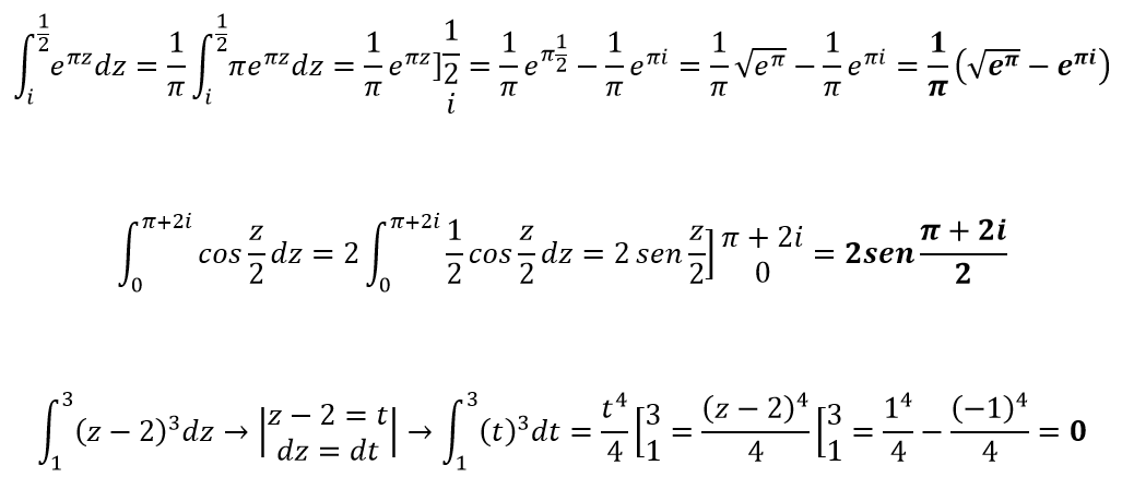
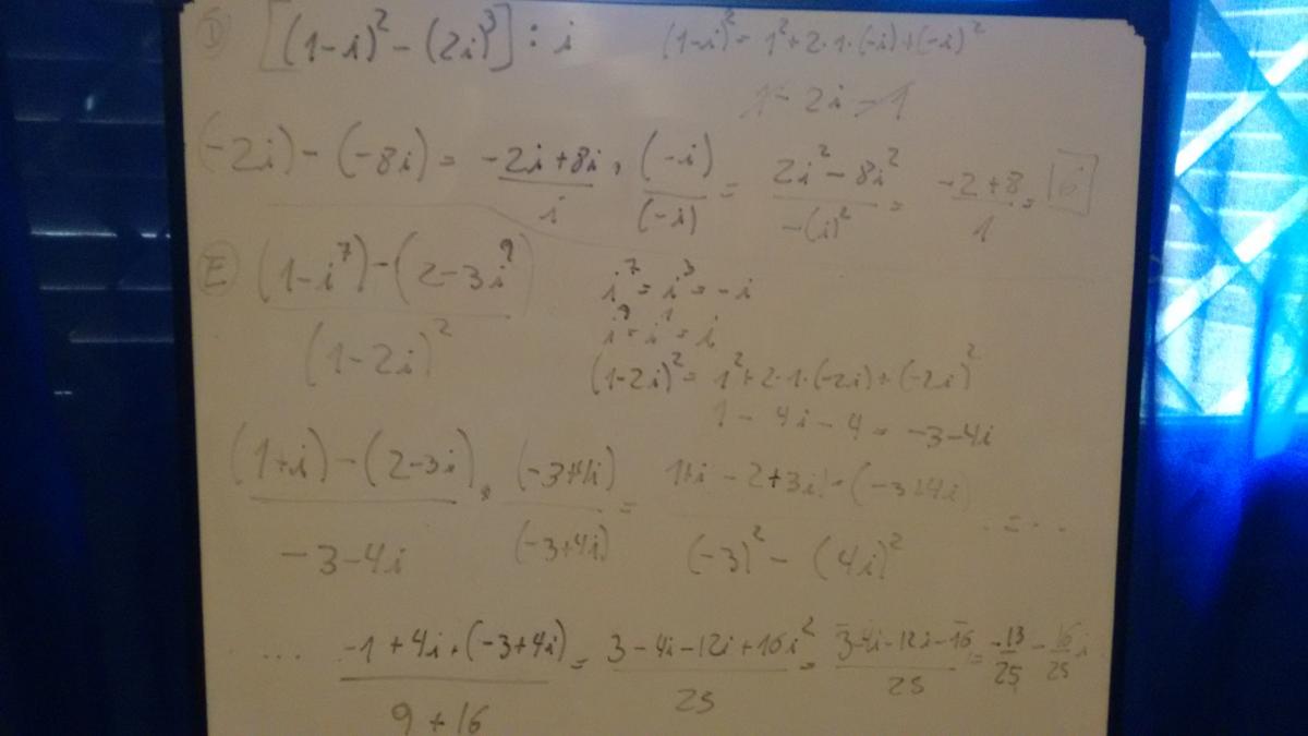
Hola, aca les dejo mi tarea... Si me pueden decir si esta todo bien, o que ejercicio esta mal. Gracias! porfa rindo el viernes.
el primer punto, dice que exprese en todas las formas posibles.
Hola Sergio. Muy buen trabajo. En general perfecto. Solo dos puntos a tener en cuenta...
En las dos primeras imágenes se te ha olvidado poner dos paréntesis.
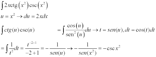
En la última imagen está bien pero te he puesto algo que no era necesario. Multiplicaste y dividiste entre dos cuando no era necesario, simplemente haber multiplicado los signos.
Buen trabajo.