Me ayudan con este ejercicio :
Escribir en forma parametrica las soluciones del sistema { X1+X2+X3+X4 = 3
X1-X2 +2X4=0
X1+3X2+2X3 =6
2X2+X3-X4 = 3
Tengo que armar la matriz y luego triagular por el método de Gauss , eso ya lo hice pero luego no se como seguir .Gracias
Tengo una duda urgente, examen en 15 minutos y repasando he visto que no sé hacer esto Indica de manera razonada si los vectores (0,2) y (-1,1) forman una base del plano. En caso afirmativo expresa el vector (5,2) como combinación de estos POR FAVOR😭😭
Hola, buen día ehh disculpadme alguien puede por favor ayudarme con el siguiente problema de geometría analítica en R3, el tema se basa de RECTAS, VECTORES Y PLANOS.
//El triángulo que tiene por vértice (1,1,1), (0,0,0) y (2,1,0) y se lo proyecta sobre el plano z=2. Calcule el área de proyección. Solución=1/2
Muchas gracias de antemano. Saludos

Tienes los vértices del triángulo: A(1,1,1), B(0,0,0) y C(2,1,0).
Luego, plantea las coordenadas de los vértices del triángulo proyectado: a(1,1,2), b(0,0,2) y c(2,1,2).
Luego, plantea los vectores correspondientes a dos lados del triángulo:
ab = <0-1,0-1,2-2> = <-1,-1,0>,
ac = <2-1,1-1,2-2> = <1,0,0>.
Luego, plantea el producto vectorial entre los vectores:
ab x ac = <-1,-1,0> x <1,0,0> = <0,0,1> (observa que es un vector normal al plano cuya ecuación cartesiana es: z = 2),
cuyo módulo es: |ab x ac| = 1.
Luego, empleas la propiedad que relaciona al módulo del producto vectorial de dos vectores con el área del triángulo determinado por ellos:
AT = |ab x ac|/2, reemplazas valores, y queda:
AT = 1/2.
Espero haberte ayudado.
Hola disculpen alguien me podria ayudar con el problema.
¿Cual es el periodo de f(x) ?
sen(x)+sen (2x)+ sen(3x)=f(x)
Unicoos por favor su ayuda con esta tarea.
que pide las siguientes incógnitas.
1.
Identifique las necesidades de aprendizaje que tiene.
2.
Liste las variables económicas que se mencionan.
3.
Determine el tipo de función que se presenta.
4.
Derive la función.
5.
Integre la función.
6.
¿Qué representa la primera derivada de cada función?
7.
¿Qué representa la segunda derivada de cada función?
8.
¿Qué representa la integral de cada función?

¡Hola! Nos encantaría ayudarte, pero no solemos responder dudas universitarias que no tengan que ver específicamente con los vídeos que David Calle ha grabado como excepción. O de otras asignaturas que no sean Matemáticas, Física y Química. Lo sentimos de corazón… Esperamos que lo entiendas.
Ojalá algún unicoo universitario se anime a ayudarte (de hecho, lo ideal es que todos los universitarios intentarais ayudaros los unos a los otros).

Planteas los factores por separado, y tienes:
(1 - i)2 = 12 + 2*(-i) + (-i)2 = 1 - 2*i + (-1) = 1 - 2*i - 1 = -2*i (1);
(2*i)3 = 23*i3 = 8*i2+1 = 8*i2*i1 = 8*(-1)*i = -8*i (2).
Luego, tienes la expresión de tu enunciado:
[ (1 - i)2 * (-8*i) ] / i =
reemplazas los valores señaladas (1) (2) en el numerador, y queda:
= [ -2*i * -8*i ] / i =
resuelves el producto en el numerador, y queda:
= [ 16*i2 ] / i =
simplificas, y queda:
= 16*i.
Espero haberte ayudado.
Saludos ,agradezco de antemano a quienes puedan colaborarme a acalarar la siguiente duda:si me dan un punto por donde pasa un plano y ademas me dicen que este palno debe ser paralelo a una recta dada,el plano que satisface estas condiciones es unico ? Profesor antonio he visto que ud conoce mucho sobre rectas y planos en r3 le agradeceria si me facilitara algunas notas suyas o bibliografia recomendada para manejar mejor el tema

Tienes la expresión de un punto del plano: A0(x0,y0,z0).
Luego, por condición de paralelismo entre un plano (indicamos a su vector normal como: n = <a,b,c>, que debes determinar),
y una recta (indicamos a su vector director como: u = <p,q,r>, que tienes como dato en tu enunciado), es que ambos vectores sean perpendiculares,
por lo que puedes plantear que el producto escalar entre ellos es igual a cero:
n • u = 0,
sustituyes las expresiones de los vectores, y queda:
<a,b,c> • <p,q,r> = 0,
desarrollas el producto escalar, y queda:
a*p + b*q + c*r = 0,
que es una ecuación con tres incógnitas (a, b, c), por lo que tiene infinitas soluciones;
luego, puedes concluir que existen infinitos planos paralelos a una recta dada que pasan por un punto dado.
Con respecto a la bibliografía, existen muchos libros cuyos autores son profesores en universidades del mundo, en la Facultad donde yo trabajo se emplean los de los autores: Larson y Stewart, pero cualquier otro libro del nivel te podría ser útil,
Espero haberte ayudado.
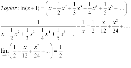
Por favor ayuda con lim x->0 de 1/L(x+1) - 1/x, necesito que sea con polinomio de Taylor, gracias

Observa que ambos denominadores tienden a cero.
Luego, tienes el argumento del límite:
f(x) = 1/L(x+1) - 1/x = extraes denominador común = ( x - L(x+1) ) / ( x*L(x+1) ) (1).
Luego, plantea el polinomio de Taylor, desarrollado alrededor de x = 0, de la función cuya expresión es:
g(x) = L(x+1), que evaluada en el centro de desarrollo queda: g(0) = 0,
cuyas derivadas son:
g ' (x) = 1/(x+1), que evaluada en el centro de desarrollo queda: g ' (0) = 1,
g '' (0) = -1/(x+1)2, que evaluada en el centro de desarrollo queda: g '' (0) = -1,
g ''' (0) = 2/(x+1)3, que evaluada en el centro de desarrollo queda: g ''' (0) = 2;
y tienes que la función puede ser aproximada con el polinomio de Taylor de orden tres, por lo que tienes:
g(x) = L(x+1) ≅ 0 + 1*(x-0) + (-1/2!)*(x-0)2 + (2/3!)*(x-0)3,
resuelves coeficientes, cancelas términos nulos en los agrupamientos, y queda:
g(x) = L(x+1) ≅ x - (1/2)*x2 + (1/3)*x3 (2).
Luego, sustituyes la expresión señalada (2) en la ecuación señalada (1), y tienes la expresión aproximada del argumento del límite:
f(x) ≅ ( x - (x - (1/2)*x2 + (1/3)*x3) ) / ( x*(x - (1/2)*x2 + (1/3)*x3) ) =
desarrollas el numerador y el denominador de la expresión, y queda:
f(x) ≅ ( x - x + (1/2)*x2 - (1/3)*x3 ) / ( x2 - (1/2)*x3 + (1/3)*x4 ) =
cancelas términos opuestos en el numerador, extraes factores comunes en el numerador y en el denominador, y queda:
f(x) ≅ x2*( (1/2) - (1/3)*x ) / ( x2*( 1 - (1/2)*x + (1/3)*x2 ) ) =
simplificas, y queda:
f(x) ≅ ( 1/2 - (1/3)*x ) / ( 1 - (1/2)*x + (1/3)*x2 ) (3).
Luego, tienes el límite de tu enunciado:
Lím(x→0) ( 1/L(x+1) - 1/x ) =
sustituyes la expresión señalada (1), y queda:
= Lím(x→0) ( x - L(x+1) ) / ( x*L(x+1) ) ≅
sustituyes la expresión señalada (3), y queda:
≅ Lím(x→0) ( 1/2 - (1/3)*x ) / ( 1 - (1/2)*x + (1/3)*x2 ) =
resuelves, y queda:
= (1/2) / 1 =
= 1/2.
Espero haberte ayudado.