Foro de preguntas y respuestas de Matemáticas

logo beUnicoos
Los foros de unicoos se han unificado en nuestra nueva plataforma beUnicoos. Para dejar nuevas preguntas deberás hacerlo allí, donde además podrás encontrar nuevas asignaturas y herramientas para ayudarte más con tus estudios.

  • icon

    lbp_14
    el 12/5/18

    El ln(0+) = -∞

    El ln(0-) = -∞

    Es correcto?

    replythumb_up0 voto/sflag
    icon

    Antonius Benedictus
    el 12/5/18

    Ln(0-) no existe

    thumb_up0 voto/sflag
  • icon

    lbp_14
    el 12/5/18

    Hola Unicoos

    Me ayudan a desarrollar esta inmediata

    Muchas gracias



    replythumb_up0 voto/sflag
    icon

    Guillem De La Calle Vicente
    el 12/5/18


    thumb_up0 voto/sflag
    icon

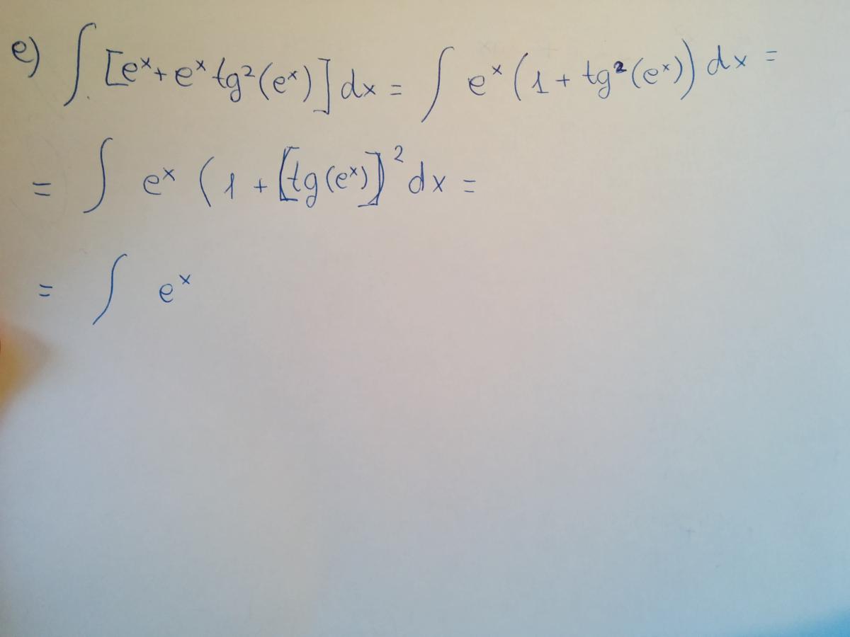
    lbp_14
    el 13/5/18

    de donde sale la (-1+sec^2)?? esque creo que mi problema está en integrar la tg

    un saludo

    thumb_up0 voto/sflag
  • icon

    Angela
    el 12/5/18

    Hallar la longitud del segmento de la recta r = (x-1)/1=y/-1=(z+3)/4 acotado por las intersecciones de r con los planos π= x-3y+2z+8=0 y π= x-y+z-1=0

    muchas gracias

    replythumb_up0 voto/sflag
    icon

    Sebastian Quintero
    el 13/5/18

    Revisa que no me haya descachado en algun calculo

    thumb_up0 voto/sflag
    icon

    Sebastian Quintero
    el 13/5/18


    thumb_up0 voto/sflag
    icon

    Sebastian Quintero
    el 13/5/18


    thumb_up0 voto/sflag
  • icon

    Angela
    el 12/5/18

    Perpendicular trazada desde el punto P(1,1,1) a la recta 

    x+y+z=0

    2x+y+3z=0

    Gracias

    replythumb_up0 voto/sflag
    icon

    Antonius Benedictus
    el 12/5/18


    thumb_up0 voto/sflag
  • icon

    lbp_14
    el 12/5/18

    Alguien me ayuda con este, siempre me da lo mismo y nunca llego.

    Muchas gracias



    replythumb_up0 voto/sflag
    icon

    Antonius Benedictus
    el 12/5/18


    thumb_up0 voto/sflag
    icon

    lbp_14
    el 12/5/18

    Donde tengo el fallo? sigo llegando a lo mismo, cuando hago L'hopital no me sale eso tuyo en el primer paso


    thumb_up0 voto/sflag
    icon

    lbp_14
    el 12/5/18

    después de la primera indeterminación 0/0 no me da eso

    thumb_up0 voto/sflag
    icon

    Antonius Benedictus
    el 12/5/18

    Hay que subir al numerador la x^2  y  bajar la exponencial.


    thumb_up0 voto/sflag
    icon

    lbp_14
    el 12/5/18

    Yo me quedo ahí todo el rato, con eso que hago?


    thumb_up0 voto/sflag
  • icon

    lbp_14
    el 12/5/18

    Hola Unicoos

    No entiendo por que ese límite da 0 si esque el número (e) elevado a 1/0 = ∞ no? No lo entiendo eso 

    Muchas gracias


    replythumb_up0 voto/sflag
    icon

    Antonius Benedictus
    el 12/5/18


    thumb_up0 voto/sflag
  • icon

    Nico Tornero
    el 12/5/18

    Hola, me pidieron que  estudie la continuidad en x=0 de cosec x - 1/x2  y la funcion me da -inf, y los limites laterales me dan -inf tambien, entonces que tipo de discontinuidad es? Esencial de 1ra o 2da especie?

    replythumb_up0 voto/sflag
    icon

    Antonius Benedictus
    el 12/5/18

    Discontinuidad de 1ª especie de tipo asintótico.

    thumb_up1 voto/sflag
  • icon

    Sara Emily
    el 12/5/18

    Hola! Necesito una ayudita rápida. Si tengo la expresión (3ab2)3 y debo hallar "a" ¿debo asumir que la expresión está igualada a cero y luego despejar? tengo un lapsus de algo tan básico pero no me suena a q tiene demasiado sentido.

    replythumb_up0 voto/sflag
    icon

    César
    el 12/5/18

    Si como dices  (2ab^2)^3=0 no podrias hallar el valor de a ni de b, pues hay una ecuacion y dos incognitas.

    Una solución trivial seria a=0 o b=0

    thumb_up0 voto/sflag
  • icon

    Mike Rhodes
    el 12/5/18
    flag

    Hola gente necesito una ayuda para resolver el siguiente circuito por favor


    replythumb_up0 voto/sflag
    icon

    Antonius Benedictus
    el 12/5/18

    No corresponde a este foro, Mike.

    thumb_up0 voto/sflag
    icon

    Mike Rhodes
    el 12/5/18

    oohh perdon me equivoque de foro

    thumb_up0 voto/sflag
  • icon

    Bachiller C.T 2017
    el 12/5/18

    hola soy Mario y vpy a 2 bachiller. ayer me dijeron que tengo la recuperacion de matematicas el lunes y necesito aprovar me pueden ayudar con este ejersisio grax.

    Dice halla el valor de λ para que esa función sea continua

    replythumb_up0 voto/sflag
    icon

    Antonius Benedictus
    el 12/5/18


    thumb_up1 voto/sflag