Foro de preguntas y respuestas de Matemáticas

logo beUnicoos
Los foros de unicoos se han unificado en nuestra nueva plataforma beUnicoos. Para dejar nuevas preguntas deberás hacerlo allí, donde además podrás encontrar nuevas asignaturas y herramientas para ayudarte más con tus estudios.

  • icon

    Nico Tornero
    el 3/5/18

    Hola, una ayuda en este ejercicio?
    Calcule las coordenadas de el/los puntos de la funcion x2+y2-4=0 donde la recta es perpendicular a y=-x
    No se que puedo hacer, tengo entendido que la pendiente tiene que ser m=1 entonces 1/F'(x0) = 1 pero de ahí no se como encontrar el o los puntos, tengo entendido que son dos ya que es un circulo, pero no puedo relacionar nada que me diga como sacar los puntos, no se me ocurre
    Gracias!

    Edito: Creo que ya lo saqué, pero me dan x=±√2 e y=±√2, como determino si son de igual o de distinto signo los puntos (x,y) por ejemplo si pongo (√2,√2) no da, pero (√2,-√2) y al revés si, que relación me permite determinar eso? Calcule la intersección de la recta que corta el circulo


    replythumb_up0 voto/sflag
    icon

    César
    el 3/5/18



    thumb_up0 voto/sflag
  • Usuario eliminado
    el 3/5/18

    Necesito ayuda con un parcial, tengo una imagen por si alguien puede resolverlo y pasarme gracias!

    replythumb_up0 voto/sflag
    icon

    Gabriel
    el 3/5/18

    Sergio, no vemos ninguna foto...


    thumb_up0 voto/sflag

    Usuario eliminado
    el 3/5/18

    alli subi Gabriel

    thumb_up0 voto/sflag
  • icon

    Santiago951
    el 3/5/18

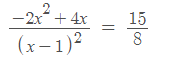
    Hola, alguien me puede ayudar con este problema, mi duda mas que todo es que al hacer la derivada de la ecuacion y al igualar a la pendiente que es 15/8 no puedo despejar y sacar x0 alguien me podria ayudar con eso por favor?. La expresion es  me queda como 

    replythumb_up0 voto/sflag
    icon

    Antonius Benedictus
    el 3/5/18


    thumb_up1 voto/sflag
    icon

    César
    el 3/5/18


    thumb_up1 voto/sflag
  • icon

    Francisco
    el 3/5/18

    Alguien me puede ayudar??

    replythumb_up0 voto/sflag
    icon

    Carlos Flores
    el 3/5/18

    Hola Francisco

    Te dejo los ángulos de cada ecuación:


    Espero haberte ayudado.

    Saludos

    thumb_up1 voto/sflag
  • icon

    Nico Tornero
    el 3/5/18

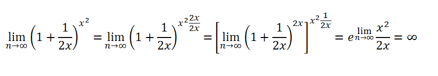
    Hace una hora lo estoy haciendo y me da infinito, me ayudan? Es aplicando L'Hopital (sacando ln en ambos miembros) 
    Gracias!

    replythumb_up0 voto/sflag
    icon

    Gabriel
    el 3/5/18

    Por que no aplicas uno de los otros métodos? sería más sencillo...

    https://www.vitutor.com/fun/3/a_18.html

    thumb_up0 voto/sflag
    icon

    Nico Tornero
    el 3/5/18

    El enunciado pide que sea por L'Hopital,  ese es el problema :(

    thumb_up0 voto/sflag
    icon

    Gabriel
    el 3/5/18

    De todas formas haciéndolo de la otra forma, sale también infinito, así que estaría bien...

    thumb_up0 voto/sflag
    icon

    Nico Tornero
    el 3/5/18

    Vaya, pensé que daba como resultado 0 y te quedaba e0=L , gracias!

    thumb_up1 voto/sflag
  • icon

    Miriam Terrada
    el 3/5/18

    Hola Unicoos,

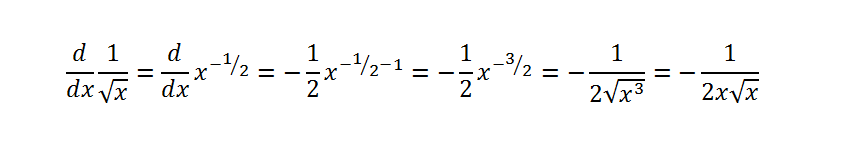
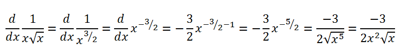
    tengo unos ejercicios resueltos de derivadas, pero 2 de ellos no me terminan de salir como sale en las soluciones, podrías explicarme como se hacen? 

    f(x)= 1/x√x

    f(x)= 1/√x

    replythumb_up0 voto/sflag
    icon

    Gabriel
    el 3/5/18

    ¿En la primera la raiz de x está en el denominador?


    thumb_up0 voto/sflag
    icon

    Gabriel
    el 3/5/18


    thumb_up0 voto/sflag
    icon

    Gabriel
    el 3/5/18

    thumb_up0 voto/sflag
    icon

    Gabriel
    el 3/5/18


    thumb_up0 voto/sflag
  • icon

    lbp_14
    el 2/5/18

    Hola Unicoos, 

    tengo algun fallo en el ejercicio?

    Muchas gracias.

    Las preguntas por si no se ven bien dicen así: a) calcula la probabilidad de que se retrase un vuelo con destino a ese aeropuerto

    b) Si un vuelo llegó con retraso a ese aeropuerto, ¿Cual es la probabilidad de que sea nocturno?


    replythumb_up0 voto/sflag
    icon

    Gabriel
    el 3/5/18

    Yo lo veo bien, a menos que te hayas equivocado a la hora de usar la calculadora. Lo único, ten en cuenta, para evitar escribir mas de lo necesario que P(A) = P(R), por lo que el denominador del apartado b), puedes usar lo calculado en el apartado a)

    Saludos

    thumb_up1 voto/sflag
  • icon

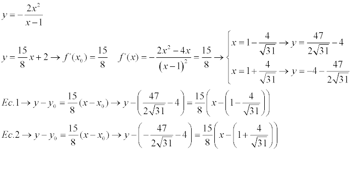
    Nico Tornero
    el 2/5/18

    En que me estoy equivocando?Me pedía que encuentre la recta tangente y la normal, pero en geogebra me da que no pasa por ese punto la funcion

    replythumb_up0 voto/sflag
    icon

    Guillem De La Calle Vicente
    el 2/5/18

    Lo tienes bien:

    Saludos.

    thumb_up1 voto/sflag
    icon

    Guillem De La Calle Vicente
    el 2/5/18


    thumb_up2 voto/sflag
    icon

    Nico Tornero
    el 2/5/18

    No importa si aparece así en el geogebra? 
    Gracias!!

    thumb_up0 voto/sflag
  • icon

    Nico Tornero
    el 2/5/18

    Hola, me ayudan con el ejercicio 2 inciso b y c? muchas gracias

    replythumb_up0 voto/sflag
    icon

    Antonius Benedictus
    el 2/5/18