Buenos días.
¿Hay algún modo de obtener los ejercicios de examen resueltos una vez finalizado? He hecho mi primer examen (2 veces) y me gustaría ver los ejercicios resueltos.
Muchas gracias

Hola Cj Gus
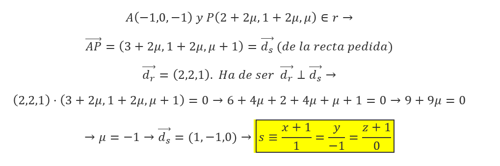
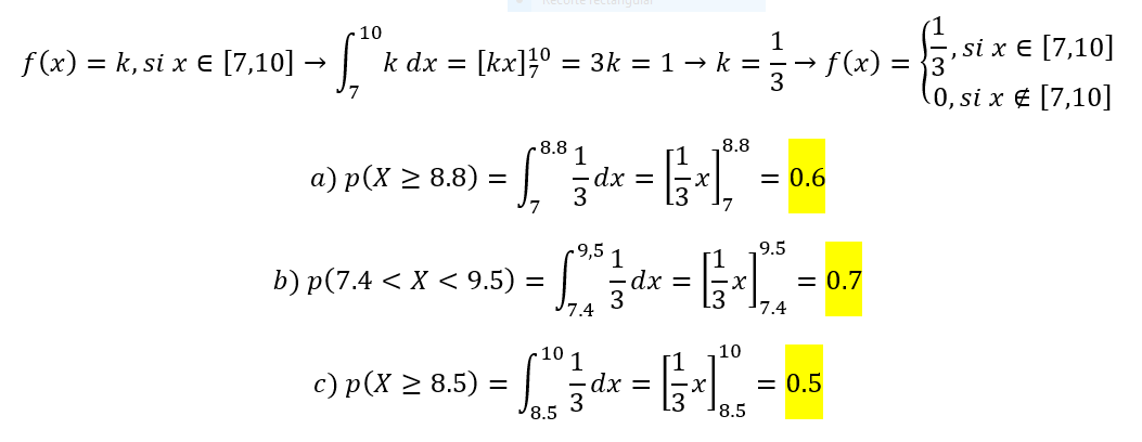
El ejercicio que planteas es el siguiente:
Para este ejercicio de límites sólo debes sustituir la variable de la siguiente forma:
Ahora tienes que hallar los valores del seno y coseno.
En este punto, sólo reemplazas los valores que ya tienes en la expresión.
Espero haberte ayudado.
Saludos
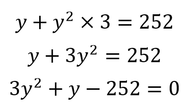
Hola!! me podrían ayudar con estos ejercicios ??? GRACIAS
Son para resolver con Pitágoras.
1) Dos ciclistas parten al mismo tiempo de una población A por dos carreteras rectilíneas, una hacía el Este y el otro hacía el Sur. Halla la distancia que los separa al cabo de tres horas sabiendo que marchan a 15 y 18 km por hora respectivamente.
2) ¿ Cuál es el mayor tablero cuadrado que puede pasar por una puerta rectangular de 2m de altura y 1m de ancho?
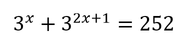
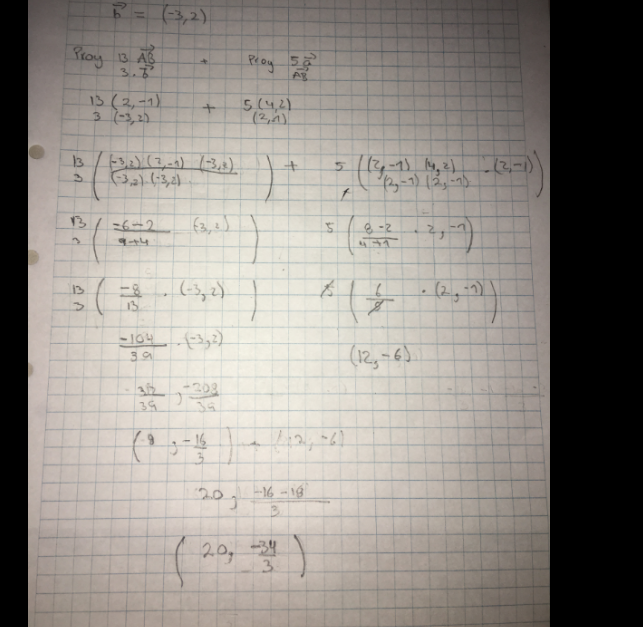
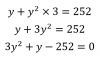
Hola, como resuelvo esto? estuve mas de 2 horas intentando con todo lo que se me ocurrio pero no me sale.
Despejar X:
![]()
Link imagen por si no se ve: https://i.imgur.com/eB6zORi.png
Muchas gracias

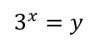
Hola Gekka
Tu ejercicio es una ecuación exponencial.
Esta ecuación también puede expresarse de la siguiente manera:
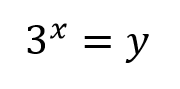
Puedes reemplazar 3x por "y".
Vuelves a reescribir la ecuación y te quedaría así:
Para hallar el valor de "y" puedes aplicar la fórmula general o el método del aspa.
Ahora sólo te quedaría reemplazar "y" por su valor original y hallar "x".
Espero haberte ayudado.
Saludos
Si tienes más dudas puedes revisar estos vídeos:
https://www.youtube.com/watch?v=BXTMKNHHbLk
https://www.youtube.com/watch?v=bjracVyQb2I
https://www.youtube.com/watch?v=j2295KOxgXw
https://www.youtube.com/watch?v=JhENx5M2Cq4&t=599s