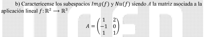
R² ----> R³ quiere decir que la aplicación lineal transforma un vector de R² a uno de R³. Por lo tanto el vector pasa de tener 2 coordenadas a tener 3.
Cuando dice caracterícense yo creo que se refiere a lo que ha escrito Antonio:
la imagen de f es el subespacio generado por los vectores (1, -1, 1) y (2, 0, 1)
el subespaacio Null es la solución trivial: el vector (0,0,0).

¡Hola! Nos encantaría ayudarte, pero no solemos responder dudas universitarias que no tengan que ver específicamente con los vídeos que David Calle ha grabado como excepción. O de otras asignaturas que no sean Matemáticas, Física y Química. Lo sentimos de corazón… Esperamos que lo entiendas.
Ojalá algún unicoo universitario se anime a ayudarte (de hecho, lo ideal es que todos los universitarios intentarais ayudaros los unos a los otros).

Comienza por plantear la ecuación general de las curvas de nivel de la función:
F(x,y) = k, con k ∈ R;
luego, sustituyes la expresión de la función en el primer miembro, y queda:
3x2 - y2x - xy3 = k;
luego, evalúas para el punto en estudio: A(2,0), y queda: 12 = k;
luego, tienes una ecuación implícita de la curva de nivel de la función, con el punto en estudio perteneciente a ella:
3x2 - y2x - xy3 = 12;
y recuerda (revisa tus apuntes de clase), que el gradiente de la función evaluado en el punto en estudio es un vector normal para esta superficie, a la cuál dicho punto pertenece, y para calcularlo, comienza por plantear la expresión general del vector gradiente de la función:
∇F(x,y) = < Fx , Fy > = < 6x+y2-y3 , 2yx-3xy2 >,
luego evalúas para el punto en estudio y queda:
∇F(2,0) = < 12 , 0 >,
que es un vector normal a la curva de nivel que pasa por el punto A(2,0).
Espero haberte ayudado.

¡Hola! Nos encantaría ayudarte, pero no solemos responder dudas universitarias que no tengan que ver específicamente con los vídeos que David Calle ha grabado como excepción. O de otras asignaturas que no sean Matemáticas, Física y Química. Lo sentimos de corazón… Esperamos que lo entiendas.
Ojalá algún unicoo universitario se anime a ayudarte (de hecho, lo ideal es que todos los universitarios intentarais ayudaros los unos a los otros).