Foro de preguntas y respuestas de Matemáticas

logo beUnicoos
Los foros de unicoos se han unificado en nuestra nueva plataforma beUnicoos. Para dejar nuevas preguntas deberás hacerlo allí, donde además podrás encontrar nuevas asignaturas y herramientas para ayudarte más con tus estudios.

  • icon

    carmela
    el 9/12/19

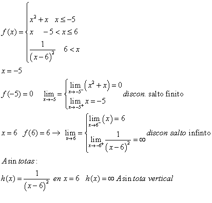
    Buenas tardes. Me pueden explicar por qué la media de esta función da eso? Muchas gracias

    replythumb_up0 voto/sflag
    icon

    Jose Ramos
    el 9/12/19


    thumb_up0 voto/sflag
  • icon

    Jose Samuel Mendoza Torres
    el 9/12/19

    Profe David buenas tardes podría resolver este ejercicio o un vídeo con las formulas paso a paso de probabilidad, cuando uno de los 2 sucesos es negado, este es:
    Un sistema está formado por dos componentes A y B cuyas probabilidades de falla son 1/6 y 2/15 respectivamente. Si la probabilidad de que al menos una de las dos componentes falle es 7/30, calcular la probabilidad de que:a) Ninguna de las dos componentes fallen. b) Sólo una de las componentes falle.Gracias.

    replythumb_up0 voto/sflag
    icon

    Jose Ramos
    el 9/12/19


    thumb_up0 voto/sflag
    icon

    Jose Samuel Mendoza Torres
    el 10/12/19

    Hola tocayo, podrías hacer la demostración de p(A) + P(B) - 2PA(A∩B) = 1/6  de como lo agrupas , que esta en la parte b, muchas gracias. 

    thumb_up0 voto/sflag
  • icon

    bernat bautista gonzalez
    el 9/12/19

    Me llamo Bernat , y me gustaría que me explicarás como se hace los factores de conversión de nivel de 1ero de la Eso. Lo han explicado pero no estaba en clase y mis compañeros nadie lo entiende.     Quiero sacar buena nota y el examen lo tengo la semana que viene . Me puede ayudar, por favor.Lo han explicado hoy y estoy preocupado.

    muchas gracias por intentarme ayudar.

    replythumb_up0 voto/sflag
  • icon

    Patricia Rossato
    el 9/12/19

    Hola a todos!!

    Tengo dudas sobre cómo resolver este problema de f(x) exponencial . Les agradecería si me pueden ayudar.

    Muchas gracias!

    Patri


    replythumb_up0 voto/sflag
    icon

    Jose Ramos
    el 9/12/19


    thumb_up1 voto/sflag
    icon

    César
    el 9/12/19


    thumb_up1 voto/sflag
    icon

    Patricia Rossato
    el 10/12/19

    De donde sale el 0.8? No logro darme cuenta

    thumb_up0 voto/sflag
  • icon

    Fer Sánchez
    el 9/12/19

    Como puedo hacer una mezcla de tierras para bonsái al 70/30 %

    ¿Sería correcto mezclar una parte de 700 gramos con otra de 300 gramos para una mezcla al 70/30 %?

    Si tengo un saco de tierra de 18 litros y quiero que mezclandola con otra de otro tipo se quede al 30 % ¿cuánto tendré que añadir de esta última a la mezcla?.

    Muchas gracias y un saludo.

    replythumb_up0 voto/sflag
    icon

    César
    el 9/12/19

    si a la primera cuestión

    a la segunda


    thumb_up1 voto/sflag
  • icon

    Juan Asensio Martinez
    el 9/12/19

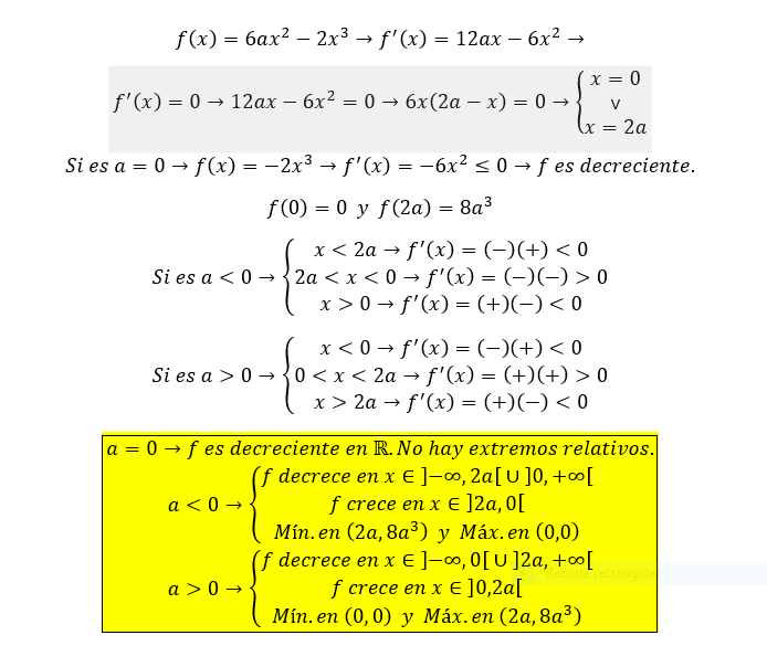
    Considera la función f(x) = 6ax2  −  2x3 , donde  ''a'' es un parámetro real. Encuentra los óptimos locales de f  y los intervalos de crecimiento y decrecimiento en función de a. 

    Gracias de antemano

    replythumb_up0 voto/sflag
    icon

    Jose Ramos
    el 9/12/19


    thumb_up1 voto/sflag
    icon

    Antonius Benedictus
    el 9/12/19


    thumb_up1 voto/sflag
  • icon

    Nahim02 Torres Barroso
    el 9/12/19

    cual es el resultado de esta operación, tienen que racionalizar y simplificar:


    replythumb_up0 voto/sflag
    icon

    Jose Ramos
    el 9/12/19

    No se puede ver la imagen. Envíala de nuevo

    thumb_up0 voto/sflag
  • icon

    Rubén Sánchez
    el 9/12/19

    Hola compañeros, no soy matemático, así que pido disculpas si es fácil...pero me encuentro con este problema que quisiera resolver. A ver si me podéis ayudar:

    Quisiera calcular los lados de un rectángulo, sabiendo que su área es la veinteava parte de otro rectángulo de 6000 metros cuadrados, cuyos lados miden 100 y 60 metros.

    El área del primer rectángulo tengo claro que serían 300 metros cuadrados, pero no sé como calcular los lados para que respeten la forma del rectángulo grande.

    Es decir, la idea es que el rectángulo a calcular mantenga el mismo ratio de altura y longitud, que el otro rectángulo.

    Gracias.

    replythumb_up0 voto/sflag
    icon

    César
    el 9/12/19


    thumb_up1 voto/sflag
  • icon

    Juan Asensio Martinez
    el 9/12/19

    Buenos días, alguien sabe como encontrar el dominio de una función con un parámetro? Añado ejemplo: f(x)=ln(kx2+1)

    Gracias!



    replythumb_up0 voto/sflag
    icon

    Antonius Benedictus
    el 9/12/19


    thumb_up1 voto/sflag
  • icon

    Lau
    el 9/12/19

    Alguien me puede ayudar con este ejercicio, gracias de antemano 

    replythumb_up0 voto/sflag
    icon

    César
    el 9/12/19


    thumb_up0 voto/sflag