
Observa que la función k tiene variable independiente α, por lo que tienes que xi, ni y N son constantes para la derivada de la función con respecto a α.
Recuerda la regla de derivación: "la derivada de una suma de funciones es igual a la suma de las derivadas de las funciones".
Observa que la función k está expresada como una suma de funciones polinómicas cuadráticas.
Luego, tiene la expresión de la función:
k(α) = ∑(i) ni*(xi - α)2/N = ∑(i) (ni/N)*(xi - α)2.
Luego, planteas la expresión de la función derivada primera, y queda:
k ' (α) = ( ∑(i) (ni/N)*(xi - α)2 ) ',
aplicas la regla de derivación, y queda:
k ' (α) = ∑(i) ( (ni/N)*(xi - α)2 ) ',
derivas el argumento de la sumatoria (observa que tienes un factor constante, y que debes aplicar la Regla de la Cadena), y queda:
k ' (α) = ∑(i) ( (ni/N)*2*(xi - α)*(-1) ) = ∑(i) ( (-2*ni/N)*(xi - α) ).
Luego, planteas la expresión de la función derivada segunda, y queda:
k '' (α) = ( ∑(i) ( (-2*ni/N)*(xi - α) ) ) ',
aplicas la regla de derivación, y queda:
k '' (α) = ∑(i) ( (-2*ni/N)*(xi - α) ) ',
derivas el argumento de la sumatoria (observa que tienes un factor constante, y queda:
k '' (α) = ∑(i) ( (-2*ni/N)*(-1) ) = ∑(i) ( (2*ni/N) ),
y observa que la expresión de la función derivada segunda no depende de la variable independiente α.
Espero haberte ayudado.
Calcula las ecuaciones de una recta perpendicular y otra paralela a la siguiente recta, que pase por el punto P(3,-1).
a) 3x+y-1=0
Necesito saber si estas conclusiones son ciertas
El vector director es (1,-3) por lo tanto el vector perpendicular (3,-1) .La recta de la recta perpendicular sería (x,y)=(3,-1)+t*(3,-1), y por tanto ese punto no pertenece a la recta.
Y la recta de la recta pararela sería (x,y)=(3,-1)+t*(1,-3)
Hola Andrea,
Vamos a llamar la recta 3x + y - 1= 0 con la letra 'r'.
Como bien has dicho el vector director de la recta 'r' es (1, -3). Sin embargo el vector perpendicular a esta recta no es (3, -1). Para encontrar el vector perpendicular a otro vector, basta con intercambiar las dos posiciones y multiplicar UN valor por -1, no los dos como has hecho tu.
Por lo tanto el vector perpendicular sería (3, 1).
Ahora solo queda formular las ecuaciones con el vector correcto.
recta perpendicular: (x, y) = (3, -1) + λ*(3, 1)
recta paralela: (x, y) = (3, -1) + λ*(1, -3)

3a)
Tienes la expresión de la función en el argumento del límite:
f(x) = √(x2-3x) - √(x2-1);
luego, multiplicas y divides por la expresión "conjugada", y queda:
f(x) = ( √(x2-3x) - √(x2-1) )*( √(x2-3x) + √(x2-1) ) / ( √(x2-3x) + √(x2-1) );
luego, distribuyes el producto, cancelas términos opuestos, resuelves potencias cuyos argumentos son raíces, y queda:
f(x) = ( x2-3x - (x2-1) ) / ( √(x2-3x) + √(x2-1) );
luego, distribuyes el segundo término en el numerador, cancelas términos opuestos, y queda:
f(x) = (-3x-1) / ( √(x2-3x) + √(x2-1) );
luego, extraes factor común x en el numerador, y extraes factor común x2 en los argumentos de las raíces, y queda:
f(x) = x*(-3-1/x) / ( √(x2*(1-3/x)) + √(x2*(1-1/x2)) );
luego, distribuyes las raíces entre los factores de sus argumentos, simplificas raíces y potencias (recuerda: √(x2) = |x|), y queda:
f(x) = x*(-3-1/x) / ( |x|*√(1-3/x) + |x|*√(1-1/x2) );
luego, extraes factor común en el denominador, y queda:
f(x) = x*(-3-1/x) / |x|*( √(1-3/x) + √(1-1/x2) );
luego, observa que tienes en tu enunciado que x toma valores muy grandes positivos, por lo que tienes: |x| = x, sustituyes, y queda:
f(x) = x*(-3-1/x) / x*( √(1-3/x) + √(1-1/x2) );
luego, simplificas, y queda:
f(x) = (-3-1/x) / ( √(1-3/x) + √(1-1/x2) );
y luego, solo queda que resuelvas el límite (observa que el numerador tiende a -3 y que el denominador tiende a 2, para x tendiendo a +∞.
Espero haberte ayudado.

3b)
Tienes la expresión de la función en el argumento del límite:
g(x) = 3x/(x2-4) - (x+1)/(x-2);
luego, factorizas el denominador en el primer término, multiplicas por x+2) al numerador y al denominador en el segundo término, y queda:
g(x) = 3x / (x-2)*(x+2) - (x+1)*(x+2) / (x-2)*(x+2);
luego, desarrollas el numerador en el segundo término, y queda:
g(x) = 3x / (x-2)*(x+2) - (x2+3x+2) / (x-2)*(x+2);
luego, extraes denominador común, y queda:
g(x) = ( 3x - (x2+3x+2) ) / (x-2)*(x+2);
luego, distribuyes el agrupamiento en el numerador, reduces términos semejantes, y queda:
g(x) = (-x2-2) / (x-2)*(x+2);
y luego, solo queda que resuelvas el límite (observa que el numerador tiende a -6 y que el denominador tiende a 0, para x tendiendo a 2,
y, además, sería muy conveniente que plantees también los límites laterales.
Espero haberte ayudado.
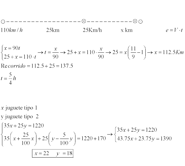
Tengo un examen de problemas y estos dos no me salen:
Un autobús sale de A a 90km/h. Cuando ha recorrido 25 km sale de A un coche a 110km/h que quiere coger el autobús. Cuanto tiempo tarda en hacerlo y cuanto recorre para conseguirlo?
Si la base mayor es la suma de los lados oblicuos y el perímetro es 38m. cuanto hace recostado este trapecio isósceles?
Un comerciante compró 35 juegos de un tipo y 25 de otro pagando 1220e. Con la venta de los primeros gana un 25% y con la venta de los segundos pierde un 5% de manera que obtuvo 170e de ganancia sobre su compra. Calcula el precio de compra de cada tipo de juegos

1)
Establece un sistema de referencia con instante inicial (ti = 0) correspondiente a la partida del autobús, con origen en el punto A, y con sentido positivo acorde al desplazamiento de los dos móviles (expresamos las posiciones en Km y el tiempo en h).
Luego, plantea la ecuación de Movimiento Rectilíneo Uniforme para el autobús (observa que sus datos iniciales son: tAi = 0 y xAi = 0):
xA = 90*t (1);
luego, tienes la posición: xA1 = 25 Km, reemplazas en la ecuación señalada (1), y queda:
25 = 90*t, divides por 90 en ambos miembros, y queda:
5/18 h = tA1, que es el instante correspondiente.
Luego, plantea la ecuación de Movimiento Rectilíneo Uniforme para el coche (observa que sus datos iniciales son: tCi = 5/18 h y xCi = 0):
xC = 110*(t - 5/18), distribuyes, y queda:
xC = 110*t - 275/9 (2).
Luego, planteas la condición de encuentro entre ambos móviles, y queda:
xC = xA, sustituyes las expresiones señaladas (2) (1), y queda:
110*t - 275/9 = 90*t, restas 90*t y sumas 275/9 en ambos miembros, y queda:
20*t = 275/9, divides por 20 en ambos miembros, y queda:
t = 55/36 h, que es el instante en que el coche alcanza al autobús;
luego, reemplazas el valor remarcado en las ecuaciones señaladas (1) (2), y queda:
x = 275/2 Km, que es la posición en la que el coche alcanza al autobús.
Espero haberte ayudado.
Buenos días, me podéis ayudar con este problema
Una botella llena de leche pesa 1200 g. cuando está por la mitad pesa 854 g. Cuanto pesa la botella cuando está vacía?
Vamos a declarar las variables primero:
x = peso de la botella
y = peso de la leche cuando la botella está llena.
Primero nos dicen que la botella llena pesa 1200g. Por lo tanto x + y = 1200
Cuando hay la mitad de la leche, nos dicen que pesa 854g. Por lo tanto x + (y/2) = 854
Ahora tenemos un sistema de ecuaciones fácil de resolver
(1) x+y = 1200 ----> y = 1200-x
(2) x+(y/2) = 854 -------> x + (1200-x)/2 = 854 ----> x - x/2 = 854 - 600 ----> x/2 = 254 ----> x = 254*2 = 508g
La botella vacía pesa 508g