
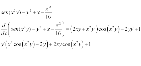
Tienes une ecuación con dos incógnitas, que permite definir a y como función de x.
Luego, separas en términos, derivas término a término (observa que el segundo miembro es constante, y que debes aplicar la Regla de la Cadena en los dos primeros términos del primer miembro), y queda:
cos(x2*y)*( 2x*y + x2*y ' ) - 2y*y ' + 1 = 0,
distribuyes el primer término, haces pasaje del término numérico, y queda:
2x*y*cos(x2*y) + x2*cos(x2*y)*y ´- 2y*y ' = -1,
haces pasaje de término, y queda:
x2*cos(x2*y)*y ´- 2y*y ' = -1 - 2x*y*cos(x2*y),
extraes factor común en el primer miembro, y queda:
(x2*cos(x2*y) - 2y)*y ' = -1 - 2x*y*cos(x2*y),
haces pasaje de factor como divisor, y queda:.
y ' = ( -1 - 2x*y*cos(x2*y) ) / (x2*cos(x2*y) - 2y), con la condición: x2*cos(x2*y) - 2y ≠ 0.
Espero haberte ayudado.
Si x > 0, Si y < 0 Valores de x, y para x+y > x
Si se dan las condiciones x >0 , y<0 entonces no habrá ningún par (x,y) en ℛ que verifique que x+y > x
--------------------------------------------------------------------------------------------------------------------------------------------------------------------------------------
**Observa que si cambiamos el símbolo > por < en la desigualdad, todo es diferente (sería una tautología):
Si se dan las condiciones x >0 , y<0 entonces todos los pares (x,y) en ℛ verificarán que x+y < x
Hola, no consigo hayar la derivada de, y=3x•(x^2-x+1)•(5x-3). La fórmula de la multiplicación,( y'=f'(x)•g(x)+f(x)•g'(x) ), da para multiplicación de dos términos, pero no logró sacar resultados con tres términos. Muchas gracias.
Buenas tardes. Para hallar el rango de una matriz por sus menores se selecciona un menor 2x2 no nulo. ¿Hay alguna explicación para esto? ¿Por qué no se podría coger un menor 3x3 o un 2x2 nulo?
Gracias de antemano.
http://www.wikillerato.org/Calculo_del_rango_de_una_matriz_por_menores.html
Mira también el ejemplo.