holaa¡¡
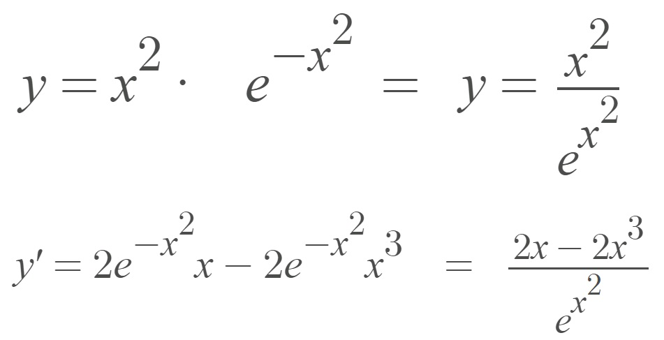
por que en la derivada primera aparece un cociente si la derivada seria la ; la derivada del primer producto por el segundo sin derivar mas la derivada del segundo por primero sin derivar
no estaria bien entonces y'= 2x - e-x2 - e x2 • 2x • x2
Me pueden resolver este problema:
Un solar urbano está limitado por las gráficas de f(x) = x2 -2 y g(x) = 2x + 1.
a) Haz un dibujo del solar.
b) Halla el área del solar si la unidad de medida usada en el mapa es el decámetro.
c) Si el valor del metro cuadrado es de 30 euros, ¿cuánto vale el solar?

a)
Haz el gráfico (te dejo la tarea).
b)
Observa en el gráfico que tienes una región limitada "por arriba" por la gráfica de la función g, y "por debajo" por la gráfica de la función f;
luego, puedes plantear la expresión del área de la región limitada por las dos gráficas:
A = a∫b ( g(x) - f(x) )*dx = a∫b (2x+1 - (x2-2) )+dx = a∫b (-x2 + 2x + 3)*dx (1),
donde a y b, con a < b, son las abscisas de los puntos de intersección entre las gráficas de las funciones;
luego, para determinar dichos valores, planteas la condición de intersección entre las gráficas, y queda la ecuación:
f(x) = g(x), sustituyes expresiones, y queda:
x2 -2 = 2x +1, haces pasajes de términos, reduces términos semejantes, y queda:
x2 - 2x - 3 = 0, que es una ecuación polinómica cuadrática cuyas soluciones son: a = -1 y b = 3;
luego, reemplazas los valores de los límites de integración en la expresión del área de la región señalada (1), y queda:
A = -1∫3 (-x2 + 2x + 3)*dx = [ -x3/3 + x2 + 3*x ] = evalúas con Regla de Barrow, y queda:
A = (-9 + 9 + 9) - (1/3 + 1 - 3) = 9 - (-5/3) = 9 + 5/3 = 32/3.
Luego, tienes para el costo del solar:
C = 30*A = reemplazas = 30*32/3 = 320 euros.
Espero haberte ayudado.
hallar la ecuacion de la recta que pasa por P(4,4,1) y corta perpendicularmente a r= (x-7)/1=(y+2)/3=(z-3)/-4
Ayuda?? Gracias

Puedes hacer el planteo por pasos:
1)
Plantea la ecuación del plano que pasa por el punto P(4,4,1) y es perpendicular a la recta, cuyo vector director es: u = <1,3,-4>, y observa que el vector director de la recta es un vector normal al plano, por lo que puedes plantear su ecuación cartesiana implícita:
1(x-4) + 3(y-4) -4(z-1) = 0, distribuyes en los términos, reduces términos semejantes, haces pasaje de término, y queda:
x + 3y - 4z = 12 (1), que es una ecuación cartesiana implícita del plano.
Luego, igualas a un parámetro t cada uno de los miembros de las ecuaciones cartesianas simétricas (o continuas) de la recta r, y queda:
x - 7 = t, haces pasaje de término, y queda: x = t + 7 (2);
(y + 2)/3 = t, haces pasaje de divisor como factor, luego haces pasaje de término, y queda: y = 3t - 2 (3);
(z - 3)/(-4) = t, haces pasaje de divisor como factor, luego haces pasaje de término, y queda: z = -4t + 3 (4);
con t ∈ R.
Luego, sustituyes las expresiones señaladas (2) (3) (4) en la ecuación señalada (1), y queda:
t+7 + 3(3t-2) - 4(-4t+3) = 12, distribuyes en los términos con agrupamientos, y queda:
t + 7 + 9t - 6 + 16y - 12 = 12, reduces términos semejantes, haces pasaje de término, y queda:
26t = 23, divides por 26 en ambos términos de la ecuación, y queda:
t = 23/26;
luego, reemplazas este valor del parámetro en las ecuaciones señaladas (2) (3) (4), y queda:
x = 205/26,
y = 17/26,
z = -14/26,
que son las coordenadas del punto de intersección entre la recta de tu enunciado y el plano perpendicular: Q(205/26,17/26,-14/26).
Luego, tienes que los puntos P y Q pertenecen a la recta buscada, por lo que un vector director de dicha recta queda expresado:
v = PQ = < 205/26-4 , 17/26-4 , -14/26-1 > = < 101/26 , -87/26 , -40/26 >.
Luego, con la expresión del punto P(4,4,1) que pertenece a la recta buscada, y con la expresión de su vector director v = < 101/26 , -87/26 , -40/26 >,
puedes plantear sus ecuaciones cartesianas simétricas (o continuas):
(x - 4) / (101/26) = (y - 4) / (-87/26) = (z - 1) / (-40/26).
Espero haberte ayudado.
Hola, buenas.
¿Podrían ayudarme con la resolución de este ejercicio? (Bueno, sólo una parte)
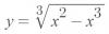
Me han mandado a graficar la función![]()
![]()
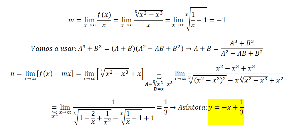
Haciendo los cálculos me encontré con un problema para hallar la asíntota oblicua. La recta en teoría sería y=mx+n, pues bien, m=-1 pero cuando he ido a encontrar n no logro encontrarla de forma sencilla, busqué cómo daría la función al final y la asíntota oblicua sería y=-x+⅓
Adjunto acá imágenes con el cálculo de los límites. Mi problema es al hallar el límite de f(x)-mx, quería saber si me podían explicar cómo hallar ese límite paso a paso.
Holaa de nuevo!!
Respecto al ejercicio que he mandado anteriormente, no entiendo por qué el apartado b) es así, ya que no se de donde sale que la probabilidad de 20 es 0,mira lo que me da a mí
hola¡¡¡
podrian resolverme este ejercicio'' GRACIASS
he visto el video de distribucion binomial pero no viene como este ejercicio:
- La probabilidad de que un determinado medicamento provoque reacción alérgica es de 0,02. Si se le administra el medicamento a 20 pacientes, calcula la probabilidad de que tengan reacción alérgica: a Al menos uno de ellos. b Más de 18. c) Halla la media y la desviación típica
gracias de nuevoo
Solo tienes que hallar los valores de la incógnita a,b o c que te falte en cada fila. Para ello te ayudarán de las incógnitas que sabes y alguna solución que te dan de alguna operación aritmética entre estas.
Una vez hallada la incógnita que te falta, únicamente tienes que realizar las operaciones combinadas que te piden, poniendo cuidado en la jerarquía de operaciones.
Gracias
éste es el título: En la siguiente imagen, puedes ver las estadísticas correspondientes a un partido de baloncesto de la selección española. Para cada jugador del equipo, observarás las columnas correspondientes a los minutos jugados, puntos obtenidos, tiros de dos, tiros de tres y tiros libres. Los tiros vienen expresados en forma de fracción, donde el denominador indica el número de tiros y el numerador el número de canastas.
Y lo que me pide son las preguntas que le he puesto antes arriba
Holaa. He resuelto un ejercicio de derivada de función inversa pero mi solución me da negativo y en el solucionario está positivo. Me podrían decir si la solución es -3 o 3? Si es positiva les agradecería que me explicasen.