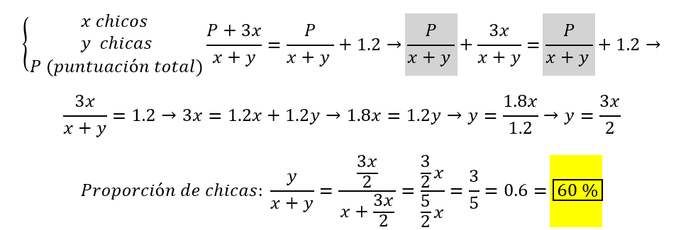
Cierta clase realiza un test.Si cada chico obtuviera 3 puntos mas en dicha prueba la media de toda la clase aumentaría en 1,2 puntos.Obten el porcentaje de chicas de dicha clase.
ayer realice una duda, creo que he seguido los pasos que me explico Jose Ramon, creo que la liado
esto hice, a ver donde me equivocado, me sale mal la respuesta
f(x)=-2X3 -2x2 +kx-3 f´(x)= -6x2 -4x+k
f´(-1)=-6-4+k=-10k -10+k=2
k=12
Alguien podría ayudarme a resolver este problema porfavor no lo puedo resolver xfa es la del porcentaje de agua xfis
Hola podrian ayudarme con esta pregunta, nose si tento bien el dibujo:
Un edificio de 158 metros de alto proyecta una sombra de 67 metros, ¿cuanto mide el angulo de elevacion del sol en ese instante?
Ayer ya pregunté esto pero ahora me ha surgido una duda, para estos valores he puesto respectivamente 0, 0, 0, 0.1416 y 0,8558. Creo que están mal, ya que estoy calculadolos como f(x) = x- ⌊x⌋

Aplicando la definición: Por ejemplo [[0]] es el mayor entero menor o igual a 0. Está claro que es el 0. Cuando el número x es entero [[x]] = x. Si x no es entero, x está entre dos enteros consecutivos n y n+1, entonces el mayor entero menor que x es n. Así π = 3,14, está entre 3 y 4, por tanto [[ π]] = 3. - π=-3,14 está entre -4 y -3 entonces el mayor entro menor que - π es -4, por tanto [[ -π]] = -4