Buenas, me podeis ayudar con este ejercicio; Se desea construir una caja cerrada con forma de prisma rectangular con base cuadrada, de modo que el volumen sea 27 dm^3.Obtener las dimensiones para que la superficie de la caja sea minima. Graciaaas
buenas necesito ayuda con este ejercicio.ya plantee un modo de solución pero no logro desarrollarlo gracias.
calcule el area fera del circulo de radio R y dentro del circulo de radio r.![]()

Establece un sistema cartesiano usual con origen en el centro de la circunferencia mayor,
y designa: c(0,a) al centro de la circunferencia menor.
Luego, las ecuaciones cartesianas de las circunferencias quedan:
x2 + y2 = R2 (circunferencia mayor),
x2 + (y-a)2 = r2 (circunferencia menor),
con a+r >R,
y con el centro de la circunferencia menor perteneciente al interior del círculo limitado por la circunferencia mayor.
Luego, a fin de determinar las coordenadas de los puntos de intersección entre ambas circunferencias, restas miembro a miembro entre las dos ecuaciones, cancelas términos opuestos, y queda:
y2 - (y-a)2 = R2-r2, desarrollas el binomio elevado al cuadrado, distribuyes, cancelas términos opuestos, y queda:
2ay - a2 = R2-r2, haces pasaje de término, y queda:
2ay = R2-r2+a2. haces pasaje de factores como divisores, y queda:
y = (R2-r2+a2)/(2a) (1), que es la ordenada de los dos puntos de intersección que puedes ver en tu dibujo;
luego, sustituyes la expresión señalada (1) en la ecuación de la circunferencia mayor, y queda:
x2 + ( (R2-r2+a2)/(2a) )2 = R2, distribuyes la potencia en el segundo término, haces pasaje de término, y queda:
x2 = (R2-r2+a2)2/(2a)2, haces pasaje de potencia como raíz, distribuyes la raíz y simplificas, y tienes dos opciones:
x1 = -(R2-r2+a2)/(2a), que es la abscisa del primer punto de intersección,
x2 = (R2-r2+a2)/(2a) (2),que es la abscisa del segundo punto de intersección,
y observa que se cumple la relación:
x1 = -x2 (3).
Luego, plantea las ecuaciones explícitas de las semicircunferencias superiores correspondientes:
y = √(R2-x2) (semicircunferencia superior mayor),
y = √(r2-x2)+a (semicircunferencia superior menor).
Luego, tienes las expresiones de las funciones cuyas gráficas son las semicircunferencias:
f(x) = √(R2-x2),
g(x) = √(r2-x2)+a,
con el dominio para ambas funciones D = [x1,x2].
Luego, planteas para el área pedida en tu enunciado:
A = x1∫x2 ( g(x) - f(x) )*dx = x1∫x2 ( √(r2-x2)+a-√(r2-x2) )*dx =
cancelas términos opuestos en el argumento de la integral, y queda:
= x1∫x2 a*dx = a * x1∫x2 dx =
integras (observa que indicamos con corchetes que debes evaluar con Regla de Barrow), y queda:
= a * [x] =
evalúas, y queda:
= a * (x2 - x1) =
sustituyes la expresión señalada (3), y queda:
= a * ( x2 - (-x2) ) = a*2*x2 = 2a*x2 =
sustituyes la expresión señalada (2), y queda:
= 2a*(R2-r2+a2)/(2a) =
simplificas, y queda:
= R2- (R2-r2+a2).
Espero haberte ayudado.
Hola , es la primera vez que me dirijo a comentar algo tengo una duda :
cuando estás dibujando la gráfica, en la primera parte le das valores -1,-2 y -3 a la x pero en la funcion x-2 si x es menor que -1
No habria que darle ese valor si fuese menor o igual ?
Gracias
Buenas tardes me podría ayudar alguien enviándome una imagen desarrollada de este problema? No se cómo empezar![]()

En cualquier libro de texto, Judith:
http://www.apuntesmareaverde.org.es/grupos/mat/Bachillerato/Matematicas%20II.pdf
Este es gratuito.

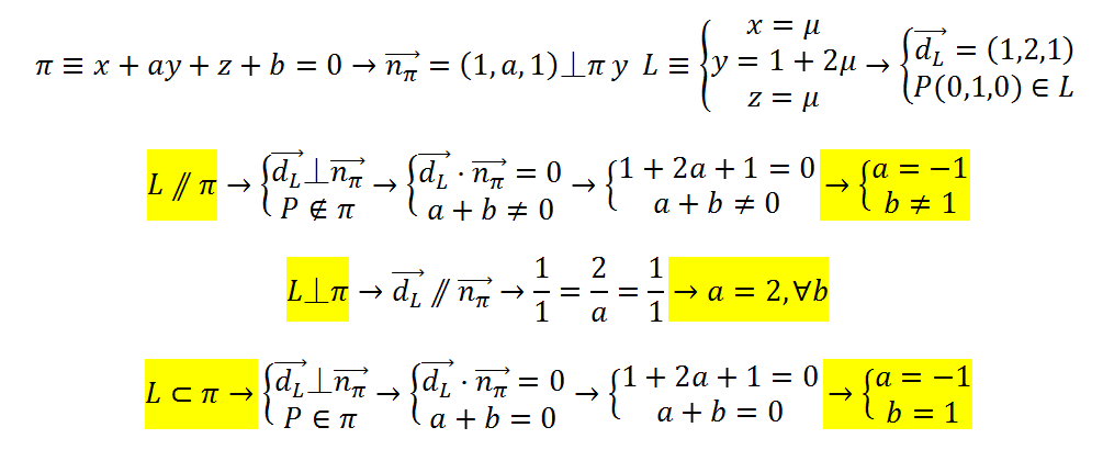
Si, lo sé, a lo que me refiero es que el valor de b≠1 genera que la recta no esté en el plano, lo cual no satisface a la segunda condición del inciso 1. Por eso preguntaba que si la respuesta del inciso 1 y 3 podrían ser las mismas porque ambas satisfacen las condiciones. Disculpe las molestias