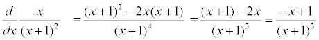
Hola, me podéis ayudar a ver el fallo que tengo en esta derivada: x / (x+1)^2 . El resultado debería ser - x-1 / (x+1)^3 pero a mí me da
-x2+1 / (x+1)^4 . Graciaas
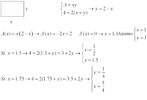
Buenas, me pueden ayudar a este problema de optimización: Con un alambre de 4 m. se quiere construir el borde de un rectángulo de área máxima. ¿Qué dimensiones hay que dar al rectángulo? ¿Y si una de las dimensiones tiene que tener 1,5 y 1,75 m. ? Gracias !!
Hola buenas! Tengo una duda, ya que estoy con el tema de las ecuaciones trigonométricas y querría saber como se continúa o si lo tengo OK.
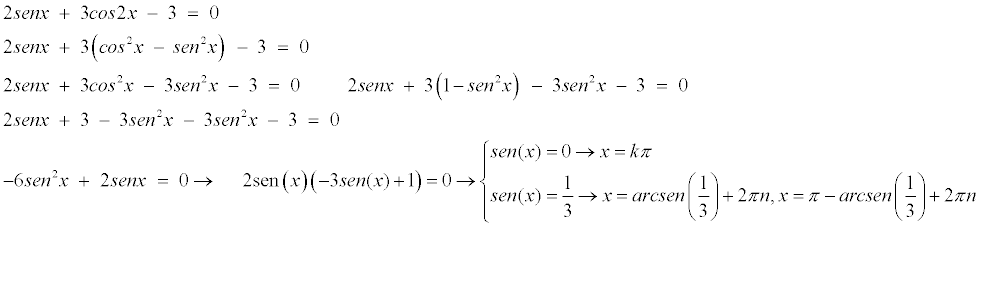
2senx + 3cos2x - 3 = 0
2senx + 3(cos2x - sen2x) - 3 = 0
2senx + 3cos2x - 3sen2x - 3 = 0
2senx + 3 - 3sen2x - 3sen2x - 3 = 0
-6sen2x + 2senx = 0
2senx(3senx + 2) = 0
senx = -2/3
Buenas, alguien me podría ayudar con este problema:
Para funciones de una variable, que una función sea derivable en un punto implica que es continua en ese punto.
La situación no es la misma para funciones de dos variables, o sea que, si la función admite derivadas parciales en un punto no implica que sea continua en dicho punto.
-inventar una función que ejemplifique la afirmación anterior
Gracias!!!

¡Hola! Nos encantaría ayudarte, pero no solemos responder dudas universitarias que no tengan que ver específicamente con los vídeos que David Calle ha grabado como excepción. O de otras asignaturas que no sean Matemáticas, Física y Química. Lo sentimos de corazón… Esperamos que lo entiendas.
Ojalá algún unicoo universitario se anime a ayudarte (de hecho, lo ideal es que todos los universitarios intentarais ayudaros los unos a los otros).
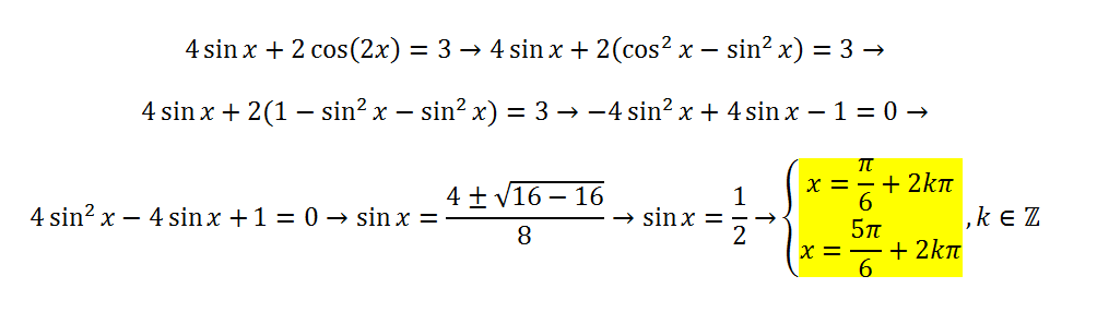
Buenos días, podríais resolverme las siguientes ecuaciones trigonométricas? Gracias
4senx + 2cos2x = 3
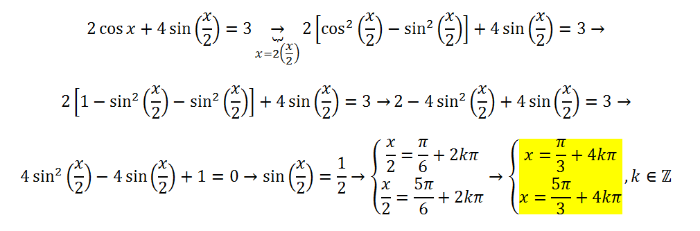
2cosx + 4senx/2 = 3