Hola amigos de únicos . Tengo una duda, para esta función del punto iv). Obtengo que el dominio es para todo "x" > o = 2. Pero tengo problemas para determinar la IMAGEN. Alguien me lo explica detalladamente?

Saludos desde Argentina!

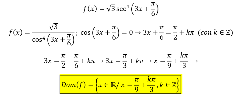
iv)
Tienes la expresión de la función:
f(x) = √(x2 - 4), con la condición: x ≥ 0,
y observa que los elementos del dominio de la función deben cumplir la condición:
x ≥ 2,
por lo que el dominio de la función es el intervalo:
D = [ 2 ; +∞ ),
y observa que la función toma valores positivos, ya que en la expresión de la función tienes una raíz cuadrada positiva,
por lo que tienes que los elementos de la imagen de la función cumplen la condición:
y ≥ 0 (1).
Luego, planeas la ecuación de la gráfica de la función, y queda:
y = f(x), sustituyes la expresión de la función en el segundo miembro, y queda:
y = √(x2 - 4), elevas al cuadrado en ambos miembros, y queda:
y2 = x2 - 4, restas x2 y restas y2 en ambos miembros, y queda:
-x2 = -y2 - 4, multiplicas en todos los términos por -1, y queda:
x2 = y2 + 4, extraes raíz cuadrada positiva en ambos miembros (presta atención al dominio de la función), y queda:
x = √(y2 + 4) (2),
que es la ecuación de la gráfica de la función, presentada en forma explícita para un elemento genérico de su dominio.
Luego, observa que para todos los elementos de la imagen, de los cuáles ya tienes establecido que cumplen con la condición señalada (1), tienes que tienen un elemento en el dominio que puedes determinar por medio de la ecuación señalada (2), por lo que tienes que la imagen de la función es el intervalo:
I = [ 0 ; +∞ ).
Espero haberte ayudado.

Se trata de que DESPUES DE IR A CLASE (ver los vídeos relacionados con vuestras dudas) enviéis dudas concretas, muy concretas. Y que nos enviéis siempre también todo aquello que hayais conseguido hacer por vosotros mismos. Paso a paso, esté bien o mal. No solo el enunciado. De esa manera podremos saber vuestro nivel, en que podemos ayudaros, cuales son vuestros fallos.... Y el trabajo duro será el vuestro.

Se trata de que DESPUES DE IR A CLASE (ver los vídeos relacionados con vuestras dudas) enviéis dudas concretas, muy concretas. Y que nos enviéis siempre también todo aquello que hayais conseguido hacer por vosotros mismos. Paso a paso, esté bien o mal. No solo el enunciado. De esa manera podremos saber vuestro nivel, en que podemos ayudaros, cuales son vuestros fallos.... Y el trabajo duro será el vuestro.

Se trata de que DESPUES DE IR A CLASE (ver los vídeos relacionados con vuestras dudas) enviéis dudas concretas, muy concretas. Y que nos enviéis siempre también todo aquello que hayais conseguido hacer por vosotros mismos. Paso a paso, esté bien o mal. No solo el enunciado. De esa manera podremos saber vuestro nivel, en que podemos ayudaros, cuales son vuestros fallos.... Y el trabajo duro será el vuestro.

Se trata de que DESPUES DE IR A CLASE (ver los vídeos relacionados con vuestras dudas) enviéis dudas concretas, muy concretas. Y que nos enviéis siempre también todo aquello que hayais conseguido hacer por vosotros mismos. Paso a paso, esté bien o mal. No solo el enunciado. De esa manera podremos saber vuestro nivel, en que podemos ayudaros, cuales son vuestros fallos.... Y el trabajo duro será el vuestro.
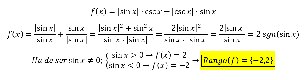
Hola! alguien me puede ayudar con este ejercicio de tabla de frecuencias de datos agrupados?
En una maternidad nacieron 40 bebés en una semana. el más pequeños pesó 3,17 kg y el más grande 4,13 kg. Indica cuál es la variable. Clasifícala. Calcula el rango de la variable, la cantidad de intervalos de clase, y la amplitud de cada uno.
Hice el rango que es
R xmáx - xmín = 4,13- 3,17= 0,96
Luego el n° de clases aplicando la regla de Sturges que es 1+ 3,322 . log N
K 1+ 3,322 . log 40 = 6,3312
el n° de intervalos sería 7
Para la amplitud de los intervalos sé que tengo que dividir el rango por la cantidad de intervalos... que es 0,14
La tabla de frecuencias la sé hacer... pero tengo dudas al armar los intervalos.
Está bien lo que hice?
La variable es el peso de los bebés y es cuantitativa discreta, porque los bebés son 40 y se pueden contar...
Desde ya muchas gracias... !!!
Saludos
Leily

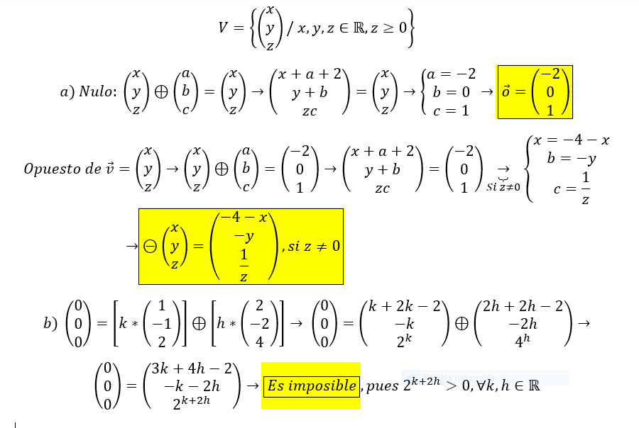
Traza una segmento paralelo al eje OY que pase por el vértice "superior" del triángulo de tu figura, y observa que la región te queda dividida en dos triángulos rectángulos.
Para el triángulo rectángulo de la izquierda tienes que sus vértices son los puntos: (-1/2;0), (2,0) y (2,5),
que su borde "inferior" es un segmento incluido en el eje OX, cuya ecuación cartesiana es: y = 0,
y que su borde "superior" es un segmento de recta, incluido en la recta cuya ecuación cartesiana es:
x = y/2 - 1/2, aquí despejas y, y queda: y = 2x + 1;
luego, tienes que el trozo de la región de integración correspondiente al triángulo rectángulo de la izquierda queda descrito por las inecuaciones dobles:
0 ≤ y ≤ (2x+1),
-1/2 ≤ x ≤ 2,
por lo que la integral para este trozo queda expresada:
I1 = -1/2∫20∫(2x+1) f(x,y)*dy*dx (1).
Para el triángulo rectángulo de la derecha tienes que sus vértices son los puntos: (2,0), (4,0) y (2,5),
que su borde "inferior" es un segmento incluido en el eje OX, cuya ecuación cartesiana es: y = 0,
y que su borde "superior" es un segmento de recta, incluido en la recta cuya ecuación cartesiana es:
x = -(2/5)y + 4, aquí despejas y, y queda: y = -(5/2)x + 10;
luego, tienes que el trozo de la región de integración correspondiente al triángulo rectángulo de la izquierda queda descrito por las inecuaciones dobles:
0 ≤ y ≤ (-(5/2)x+10),
2 ≤ x ≤ 4,
por lo que la integral para este trozo queda expresada:
I2 = 2∫40∫(-(5/2)x+10) f(x,y)*dy*dx (2).
Luego, planteas que la integral de tu enunciado es igual a la suma de las dos integrales señalada (19 (2), y queda:
0∫5(y/2-1/2)∫(-(2/5)y+4) f(x,y)*dx*dy = -1/2∫20∫(2x+1) f(x,y)*dy*dx + 2∫40∫(-(5/2)x+10) f(x,y)*dy*dx.
Espero haberte ayudado.

Se trata de que DESPUES DE IR A CLASE (ver los vídeos relacionados con vuestras dudas) enviéis dudas concretas, muy concretas. Y que nos enviéis siempre también todo aquello que hayais conseguido hacer por vosotros mismos. Paso a paso, esté bien o mal. No solo el enunciado. De esa manera podremos saber vuestro nivel, en que podemos ayudaros, cuales son vuestros fallos.... Y el trabajo duro será el vuestro.

Se trata de que DESPUES DE IR A CLASE (ver los vídeos relacionados con vuestras dudas) enviéis dudas concretas, muy concretas. Y que nos enviéis siempre también todo aquello que hayais conseguido hacer por vosotros mismos. Paso a paso, esté bien o mal. No solo el enunciado. De esa manera podremos saber vuestro nivel, en que podemos ayudaros, cuales son vuestros fallos.... Y el trabajo duro será el vuestro.