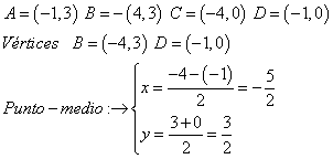
Hola unicoss ,como puedo cualcular la interseccion de las diagonales de un¨`rectangulo´con vertices A=-1,3 B=-4,3 C=-4,0 D=-1,0? ,cual seria la formula para calcularlo?,la respuesta es ``0,9/2´´ ,de antemano muchas gracias¡

Si se trata de las diagonales de un rectángulo basta con calcular el punto medio entre dos vértices no consecutivos, en este caso valdría el punto medio de AC o el punto medio de BD.
Punto medio de AC = (A+C) /2 = (-5/2, 3/2) Si Haces el punto medio de BD = (B+D)/2 = (-5/2, 3/2). Como puedes ver, ambos resultados son iguales.
Hola compañeros:
Soy Alicia, y os escribo desde Barcelona.
tengo 40 años y hace mucho que estudié esto, así que muchas cosas o no me acuerdo o no se hacerlas.
Estoy estudiando para sacarme la ESO, y me está costando un poco, así que os mando uno de los ejercicios que he de resolver, no quiero que me lo hagáis, simplemente darme una ayuda porque se me hace cuesta arriba, es un poco largo:
Ejercicio:
Queremos construir una piscina con forma de flor, con petalos semicirculares con 6m de diámetro y una isla central rectangular que los lados miden 2m i 4m. La profundidad de la piscina es de 1,5m.
La isla central no contiene agua.
1. Cuantas baldosas cuadradas de lados 1,5cm, necesitaremos como minimo, para enbaldosar la piscina: suelo más paredes laterales,( teniendo en cuenta que el suelo de la isla central no serà enbaldosado)
2. Qué volumen de agua cabe. Sabiendo que la isla central no hay agua.
3. Cuál és la capacidad de la piscina.
4. Si la piscina se llena a un ritmo de 600 litros por minuto, cuantas horas tardará en llenarse.
5. Cuál es la longitud de la reja que bordea la piscina.
Hola unicoss ,como puedo cualcular la interseccion de las diagonales de un rectangulo con vertices A=-1,3 B=-4,3 C=-4,0 D=-1,0? ,cual seria la formula para calcularlo?,la respuesta es 0,9/2 ,de antemano muchas gracias¡
podes resolver esto, por favor ?
https://drive.google.com/file/d/1b6WLG2_rSfNjZuLXpLTRp90qDhNx6PEj/view?usp=sharing

Se trata de que DESPUES DE IR A CLASE (ver los vídeos relacionados con vuestras dudas) enviéis dudas concretas, muy concretas. Y que nos enviéis siempre también todo aquello que hayais conseguido hacer por vosotros mismos. Paso a paso, esté bien o mal. No solo el enunciado. De esa manera podremos saber vuestro nivel, en que podemos ayudaros, cuales son vuestros fallos.... Y el trabajo duro será el vuestro.

Por observación. NO hay una regla fija para obtener los términos generales a partir de los primeros términos.
En este caso como van alternando de signo empezando en - tiene que multiplicarse por (-1)n para la alternancia de signos. Luego observé que los numeradores eran 3 salvo el 1º y 4º término, y como eran fracciones supuse que estarían simplificadas, con lo cual multiplique el numerador y denominador de esos términos por un mismo número para obtener el 3 en el numerador, con lo cual los denominadores generaron una sencilla progresión aritmética de diferencia 2, cuyo término general era 2n+1. Bastante fácil!!!! Estos problemas pueden ser muy complicados...