Foro de preguntas y respuestas de Matemáticas

logo beUnicoos
Los foros de unicoos se han unificado en nuestra nueva plataforma beUnicoos. Para dejar nuevas preguntas deberás hacerlo allí, donde además podrás encontrar nuevas asignaturas y herramientas para ayudarte más con tus estudios.

  • icon

    Alfredo Pérez
    el 26/11/17

    Me ayudarían a diagonalizar la siguiente matriz por favor. Gracias de antemano.

    (3 -1 1

    0 2 0

    1 -1 3)

    replythumb_up1 voto/sflag
    icon

    Antonius Benedictus
    el 26/11/17


    thumb_up1 voto/sflag
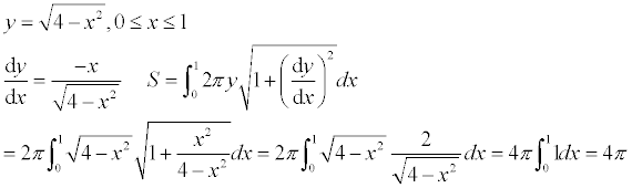
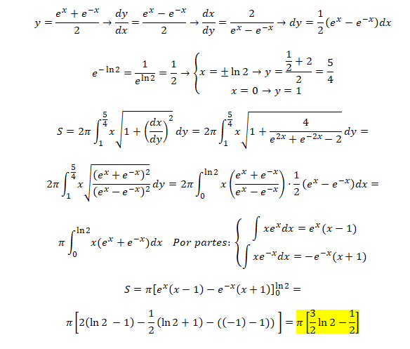
  • icon

    Leandro Ríos
    el 26/11/17

    Buenas a todos! Me encuentro realizando el siguiente ejercicio de superficie de revolución, la dificultad radica en que me dan limitación de integrar solamente con respecto a x y la estructura de este me complica su resolución, si alguien me puede ayudar lo agradecería mucho. 

    replythumb_up0 voto/sflag
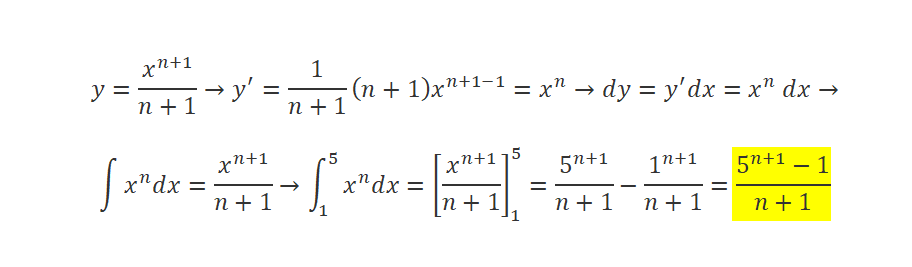
    icon

    César
    el 26/11/17


    thumb_up1 voto/sflag
    icon

    Antonius Benedictus
    el 26/11/17


    thumb_up1 voto/sflag
  • icon

    Livaldo Ocanto
    el 26/11/17

    Lo resolvi por L'hopital y me dio 2, pero me mandaron a resolverlo sin aplicar l'hopital y no me da x.x hago el cv w= x-pi/4 aplico mis identidades y eso, pero igual me sigue el 0/0

    replythumb_up0 voto/sflag
    icon

    Leandro Ríos
    el 26/11/17

     Hola! Debes tener en cuenta ciertas propiedades de los límites, una de ellas sen(x)/x=1 cuando x tiende a cero, Con ella tienes la clave para resolverlo, de resto es trigonometría pura. 

    thumb_up0 voto/sflag
    icon

    Leandro Ríos
    el 26/11/17


    thumb_up0 voto/sflag
  • Usuario eliminado
    el 26/11/17

    Hola Unicoos, por favor me podrian ayudar con las demostraciones de las formulas trigonometricas de suma y diferencia

    replythumb_up0 voto/sflag
  • Usuario eliminado
    el 25/11/17

    Hola Unicoos, por favor me podrian ayudar con las demostraciones de las formulas trigonometricas angulo mitad


    replythumb_up0 voto/sflag
    icon

    Antonius Benedictus
    el 25/11/17


    thumb_up1 voto/sflag

    Usuario eliminado
    el 26/11/17

    Muchisimas gracias, me han encantado tus respuestas, son super compactas y faciles de entender! :)

    thumb_up0 voto/sflag
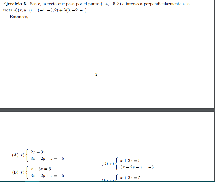
  • icon

    Nacho
    el 25/11/17

    Alguien me uede ayudar con este ejercicio de recta y plano::


    replythumb_up0 voto/sflag
    icon

    Antonius Benedictus
    el 25/11/17


    thumb_up0 voto/sflag
  • icon

    Livaldo Ocanto
    el 25/11/17




    Quede ahi, despues de simplificar y aplicar identidades, al seguir me queda 0/0 pero nose como romper esa indeterminacion

    replythumb_up0 voto/sflag
    icon

    Livaldo Ocanto
    el 25/11/17

    A partir del 3 paso no entendi x.x como lo separaste en multiplicacion asi?


    thumb_up0 voto/sflag
    icon

    Antonius Benedictus
    el 25/11/17

    No me extraña. Había una señora errata. Ahora está corregida:


    thumb_up0 voto/sflag
    icon

    Livaldo Ocanto
    el 25/11/17

    Ahi estaba la clave la IDENTIDAD DE NUEVOOOO HAHAHA, gracias.

    thumb_up1 voto/sflag
  • Usuario eliminado
    el 25/11/17

    Hola Unicoos, por favor me podrian ayudar con las demostraciones de las formulas trigonometricas de reduccion de potencias

    replythumb_up0 voto/sflag
    icon

    Antonius Benedictus
    el 25/11/17


    thumb_up1 voto/sflag
  • icon

    Patty Guerrero
    el 25/11/17

    Racionalizar e indica el denominador , me podrian ayudar con el ejercicio , gracias


    replythumb_up0 voto/sflag
    icon

    Antonius Benedictus
    el 25/11/17


    thumb_up0 voto/sflag
  • icon

    Diego Mauricio Heredia
    el 25/11/17

    Ayuda con la 6 por favor. 


    replythumb_up0 voto/sflag
    icon

    Antonius Benedictus
    el 25/11/17


    thumb_up0 voto/sflag