Foro de preguntas y respuestas de Matemáticas

logo beUnicoos
Los foros de unicoos se han unificado en nuestra nueva plataforma beUnicoos. Para dejar nuevas preguntas deberás hacerlo allí, donde además podrás encontrar nuevas asignaturas y herramientas para ayudarte más con tus estudios.

  • icon

    Ainhoa
    el 21/11/17

    Alguien sabe si en las ecuaciones exponenciales se desprecia el resultado 0?

    replythumb_up0 voto/sflag
    icon

    Antonius Benedictus
    el 21/11/17

    Si pones a^x =0, con a>0, sí.


    thumb_up0 voto/sflag
  • icon

    Julio Rojas
    el 21/11/17

     tengo que demostrar la igualdad del siguiente este ejercicio,  una manito por favor 

    replythumb_up0 voto/sflag
    icon

    Antonius Benedictus
    el 21/11/17


    thumb_up0 voto/sflag
    icon

    Julio Rojas
    el 21/11/17

    como se cuando tengo que hacerlo por inducción y cuando no, o todas estas comprobaciones se pueden hacer por induccion?

    thumb_up0 voto/sflag
    icon

    Ángel
    el 21/11/17

    El uso del método de inducción está justificado formalmente por los axiomas de Peano.

    En concreto, el 5. nos asegura que si procedes de la forma que te adjuntó Antonio, lo compruebas para todo "n".


    Los cinco axiomas o postulados de Peano son los siguientes:

    1. El 1 es un número natural. 1 está en N, el conjunto de los números naturales.
    2. Todo número natural n tiene un sucesor n* (este axioma es usado para definir posteriormente la suma).
    3. El 1 no es el sucesor de ningún número natural.
    4. Si hay dos números naturales n y m con el mismo sucesor, entonces n y m son el mismo número natural.
    5. Si el 1 pertenece a un conjunto de números naturales, y dado un elemento cualquiera, el sucesor también pertenece al conjunto, entonces todos los números naturales pertenecen a ese conjunto. Este último axioma es el principio de inducción matemática.

    thumb_up0 voto/sflag
  • icon

    Marisa Tavella
    el 21/11/17

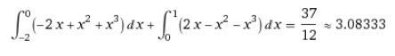
    Hola queria saber si podrían ayudar a resolver esta área de integrales entre dos curvas:

    F(x)= -x^2+2x

    G(x)= x^3

    Sería de gran ayuda, gracias!

    replythumb_up0 voto/sflag
    icon

    Marisa Tavella
    el 21/11/17

    Hola, ya mire los videos y trate de hacerla pero se me complico. Quisiera saber si el resultado que me dio esta bien por eso mande el ejercicio. Me dio 35/12

    thumb_up0 voto/sflag
    icon

    Antonius Benedictus
    el 21/11/17


    thumb_up0 voto/sflag
    icon

    Ángel
    el 21/11/17

    loader

    Ángel
     - hace 29 segundos

    f(x)= -x2+2x

    g(x)= x3


    Puntos de corte

    f(x)=g(x)

    -x2+2x = x3

    x3+x2-2x = 0

    x(x2+x-2) = 0

    x1= 0

    x2,3= (-1±√(12-4*1*(-2)))/(2*1) =   (-1±√(9))/2 =  (-1±3)/2     ------> x2= 1 , x3= -2


    Hallamos el área

    A= ab∫(f(x)-(g(x))dx |


    A= |-20∫((-x2+2x)-x3)dx |+ | 01∫((-x2+2x)-x3)dx |=      | (-x3/3+(x2)-x4/4) -20 |+ | (-x3/3+(x2)-x4/4)01 |=   | (0 - 8/3 ) |+ | (0-((-1/3)+1-(1/4))) |   =

    | - 8/3 |+ | (0-(5/12)) |   =      (8/3)  + (5/12)=         37/12 u2

    thumb_up0 voto/sflag
  • icon

    Sr.M
    el 21/11/17

    Hola buenas, he estado intentando hacer este ejercicio pero nada de nada. Alguien podría hacerlo o explicarmelo paso por paso por favor ? Gracias

    replythumb_up0 voto/sflag
    icon

    Guillem De La Calle Vicente
    el 21/11/17


    thumb_up2 voto/sflag
    icon

    Sr.M
    el 22/11/17

    Muchisimas gracias Guillem. Te lo agradezco mucho. Gracias de nuevo y por explicarmelo claro y preciso. Gracias !

    thumb_up1 voto/sflag
  • icon

    cesar hernandez
    el 21/11/17

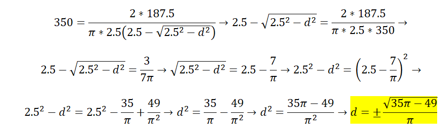
    Holam me podeis ayudar a despejar d? gracias 

    replythumb_up0 voto/sflag
    icon

    Antonius Benedictus
    el 21/11/17


    thumb_up1 voto/sflag
  • icon

    Uxue
    el 21/11/17


    Hola, alguien me puede ayudar ....

    replythumb_up0 voto/sflag
    icon

    Antonius Benedictus
    el 22/11/17

    thumb_up0 voto/sflag
  • icon

    Lola Navarro Gris
    el 21/11/17

    Hola me podrian hacer este ejercicio haciendolo pasa por paso?

    Considerando el plano π dado por 3x -2y +z=1

    Determinar si el plano π es perpendicular a la recta r dada por r=(x+3y+3z=0

                                             y+2z=1

    Y determinar si el plano π es paralelo a la recta s que pasa por los puntos A=(1,0,2) y B=(2,1,0) 

    Gracias
























































    replythumb_up0 voto/sflag
    icon

    César
    el 21/11/17


    thumb_up0 voto/sflag
  • icon

    Sr.M
    el 21/11/17

    No entiendo lo que hay que hacer. No se como empezar. Alguien puede ayudarme por favor ?

    replythumb_up0 voto/sflag
    icon

    Elías
    el 21/11/17

    Este problema debe ser resuelto por integrales, aquí te dejo un vídeo que puede servirte de ayuda:


    Integral definida - Área de una funcion

    thumb_up0 voto/sflag
  • icon

    Julio Rojas
    el 21/11/17

     buenas acá me piden demostrar la igualdad indica estuve intentando pero no me resulta igual, agradecería su ayuda 

    replythumb_up0 voto/sflag
    icon

    Antonius Benedictus
    el 21/11/17


    thumb_up0 voto/sflag
  • icon

    Fernando
    el 21/11/17

    Alguien podría resolverme esta duda? 

    Tenemos una estatua de una altura de 2,5m y la vemos con un ángulo de 40 grados. Si desde el mismo punto que vemos la estatua a 40 grados vemos la base de la estatua a 15 grados; ¿Cuál es la altura de la estatua?

    replythumb_up1 voto/sflag
    icon

    Clara García Jiménez
    el 21/11/17

    La pregunta es la altura de la estatua o de la base? Porque la de la estatua te la da en el enunciado


    thumb_up0 voto/sflag
    icon

    Fernando
    el 21/11/17

    De la base, perdón***


    thumb_up0 voto/sflag
    icon

    Clara García Jiménez
    el 21/11/17

     



    Hay que aplicar el teorema del seno. Ahí te lo dejo hecho a ver si lo entiendes, si no, pregunta.

    thumb_up0 voto/sflag