
Si no consideras que el cilindro es finito y desprecias los efectos de bordes, puedes plantear que la superficie gaussiana más adecuada es un cilindro coaxial al cilindro que contiene las cargas, y su área queda expresada: A = 2π*L*r.
Luego, la ecuación queda:
E*2π*L*r = (qp + qn)/ε0.
Haces pasaje de divisor como factor, y queda:
E*2πε0*L*r = qp + qn,
haces pasaje de término, y queda:
E*2πε0*L*r - qp = qn.
Luego, sustituyes la expresión: ε0 = 1/(4π*k), y queda:
qn = E*L*r/(2*k) - qp.
Luego, reemplazas datos (observa que empleamos el Sistema Internacional de Unidades de Medida,
y observa también que el campo es "atractivo" y tiene dirección y sentido hacia el eje del cilindro):
qn = -9876,9*0,12*0,12/(2*9*109) - 25*10-9 = -7,90152*10-9 - 25*10-9 = - 32,90152*10-9 c = -32,90152 nc.
Espero haberte ayudado.

Tienes la ecuación:
y*ex*y*z*cos(3*x*z) = 5, que define implícitamente a z como función de x e y (observa que el primer factor y el tercer factor deben tomar valores distintos de cero, y observa que el segundo factor toma valores estrictamente positivos).
Observa que la ecuación corresponde a una superficie de nivel de la función diferenciable en R3 cuya expresión es: F(x,y,z) = y*ex*y*z*cos(3*x*z).
Luego, deriva implícitamente con respecto a x en la ecuación (observa que debes aplicar la regla del producto y la regla de la cadena), y queda:
y*ex*y*z*(y*z + x*y*zx)*cos(3*x*z) + y*ex*y*z*( -sen(3*x*z) )*(3*z + 3*x*zx) = 0,
divides en todos los términos de la ecuación por y*ex*y*z (observa que es una expresión que toma valores estrictamente positivos), y queda:
(y*z + x*y*zx)*cos(3*x*z) - sen(3*x*z)*(3*z + 3*x*zx) = 0,
distribuyes en los dos términos del primer miembro, y queda:
y*z*cos(3*x*z) + x*y*zx*cos(3*x*z) - 3*z*sen(3*x*z) - 3*x*zx*sen(3*x*z) = 0,
haces pasajes de términos, y queda:
x*y*zx*cos(3*x*z) - 3*x*zx*sen(3*x*z) = -y*z*cos(3*x*z) + 3*z*sen(3*x*z),
extraes factores comunes en ambos miembros, y queda:
x*zx*( y*cos(3*x*z) - 3*sen(3*x*z) ) = -z*( y*cos(3*x*z) - 3*sen(3*x*z) ),
haces pasajes del factor del agrupamiento como divisor (consideramos que toma valores distintos de cero), simplificas, y queda:
x*zx = -z,
haces pasaje de factor como divisor (consideramos que x toma valores distintos de cero), y queda:
zx = - z/x.
Espero haberte ayudado.
Buenas, ayuda con estas preguntas:
1. Muestre que la ecuación tiene como máximo 2 raíces reales 𝑥 4 + 4𝑥 + 𝑐 = 0
2. Suponga que 𝑓 es diferenciable en todos los reales y tiene 2 raíces.
Muestre que 𝑓 ′ tiene al menos una raíz
1.
f´(x)= 4x3+4
f´(x)=0 ⇔ 4x3+4=0 ------> 4x3= -4 -----> x3= -1 -----> x= -1 "Como f´(x) tiene sólo una raíz real, entonces el número máximo de raíces de f(x) es 2"
2.
Si f(x) tiene dos raíces es porque al menos es de grado dos
Si al menos es de grado 2, entonces su derivada será al menos de grado 1 (lineal) y tendrá al menos una raíz.
https://www.vitutor.com/fun/3/a_14.html
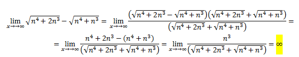
Tenemos al final una indeterminación infinito partido de infinito.
Lo resolvemos viendo los coeficientes de mayor grado del numerador y del denominador y como el grado numerador es mayor que el grado del denominador el resultado es infinito
**Observa que n3 tiene mayor grado que √(n4)= n2
Hola , podría alguien ayudarme con este problema de números complejos , llevo tiempo con el pero no logro resolverlo , si alguien fuera tan amable de poner el desarrollo , me he leido la teoría al respecto de cálculo de raices de un número complejo con la forma exponencial , pero no logro verlo , espero podais ayudarme gracias

https://screenshots.firefoxusercontent.com/images/8195731c-51d2-4df5-ba3f-cf68e2f1c5c2.png
pensé que se veía , he dado con parte de la solución , pero no se pasar los ángulos de pi/12 , 9pi12 y 17pi/12 a valores del tipo √6 + √2 , gracias