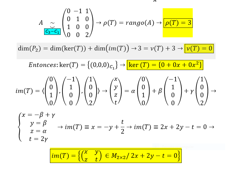
Hola a tod@s! No se como calcular este tipo de ejercicios. Me pueden ayudar? Gracias.
Determinar el centroide para el área en el 1 cuadrante delimitada por los ejes de coordenadas y la gráfica de f (x) = 4-x2

Tienes la expresión de la función:
f(x) = 4 - x2, cuyo dominio es el intervalo: [0,2], y cuya imagen es el intervalo: [0,4],
y cuya gráfica tiene la ecuación:
y = 4 - x2 (1),
que delimita una región con el eje OX y con el eje OY, cuyos vértices son los puntos: (0,0), (2,0) y (0,4);
luego, despejas x en la ecuación de la gráfica de la función, y queda (observa que la abscisa toma valores positivos):
x = √(4 - y), y aquí puedes designar: g(y) = √(4 - y) (2).
Luego, vamos por etapas:
1°)
Planteas la expresión del área de la región, y queda:
A = 0∫2 f(x)*dx = 0∫2 (4 - x2)*dx, aquí resuelves la integral (te dejo la tarea), y queda: A = 16/3.
2°)
Planteas la expresión de la integral correspondiente al momento con respecto al eje OY:
MOY = 0∫2 x*f(x)*dx = 0∫2 x*(4 - x2)*dx, aquí resuelves la integral (te dejo la tarea), y queda: MOY = 4.
3°)
Planteas la expresión de la integral correspondiente al momento con respecto al eje OX:
MOX = 0∫4 y*g(y)*dx = 0∫4 y*√(4 - y)*dx, aquí resuelves la integral (te dejo la tarea), y queda: MOX = 128/15.
4°)
Planteas las expresiones de las coordenadas del centroide de la región, y queda:
xc = MOY/A,
yc = MOX/A,
sustituyes los valores remarcados, y queda:
xc = 4/(16/3), resuelves, y queda: xc = 3/4,
yc = (128/15)/(16/3), resuelves, y queda: xc = 8/5,
por lo que tienes que el centroide de la región es el punto: C( 3/4 , 8/5 ).
Espero haberte ayudado.
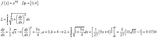
Hola buenas, me pueden ayudar con este ejercicio: Dada la función f(x)=X3/2 Dp=[0,4]
-Dibujar la gráfica de f y calcular la longitud de la gráfica?

Vamos con una orientación para el planteo para calcular la longitud de la gráfica.
Planteas la expresión de la función derivada primera, y queda:
f'(x) = 3*x1/2/2, y observa que está definida en todos los puntos del intervalo: Dp = [0,4].
Luego, planteas la expresión de la longitud de la gráfica, y queda:
L = 0∫4 √(1 + [f'(x)]2)*dx, sustituyes la expresión de la función derivada primera, y queda:
L = 0∫4 √(1 + [3*x1/2/2]2)*dx, resuelves el segundo término en el argumento de la raíz cuadrada, y queda:
L = 0∫4 √(1 + (9/4)*x)*dx,
y puedes continuar la tarea, y observa que debes aplicar la sustitución (o cambio de variable): w = (9/4)*x.
Espero haberte ayudado.
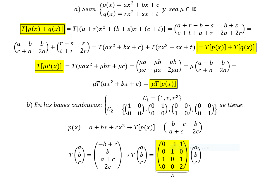
Podríais darme un ejemplo de utilización de la primera fórmula (en la imagen)?
El enunciado era éste:
Tenemos un conjunto de caracteres, número escogido por el usuario, y queremos formar palabras de otro número,
también elegido por el usuario, de caracteres. ¿Cuántas palabras se pueden formar? El usuario elige si se pueden o no repetir los caracteres.

Se trata de que DESPUES DE IR A CLASE (ver los vídeos relacionados con vuestras dudas) enviéis dudas concretas, muy concretas. Y que nos enviéis siempre también todo aquello que hayais conseguido hacer por vosotros mismos. Paso a paso, esté bien o mal. No solo el enunciado. De esa manera podremos saber vuestro nivel, en que podemos ayudaros, cuales son vuestros fallos.... Y el trabajo duro será el vuestro.