Foro de preguntas y respuestas de Matemáticas

logo beUnicoos
Los foros de unicoos se han unificado en nuestra nueva plataforma beUnicoos. Para dejar nuevas preguntas deberás hacerlo allí, donde además podrás encontrar nuevas asignaturas y herramientas para ayudarte más con tus estudios.

  • icon

    lbp_14
    el 18/9/17

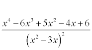
    Hola Unicoos,

    No se simplificar más lo que me ha dado como resultado esta derivada y no se si está correcta.

    Muchísimas gracias


    replythumb_up0 voto/sflag
    icon

    César
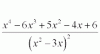
    el 18/9/17

    No se si me gusta mas la tuya , pero alla va

    thumb_up1 voto/sflag
    icon

    lbp_14
    el 19/9/17

    Qué pasos has hecho hasta obtener ese resultado?

    Muchisimas gracias.

    thumb_up1 voto/sflag
  • icon

    lbp_14
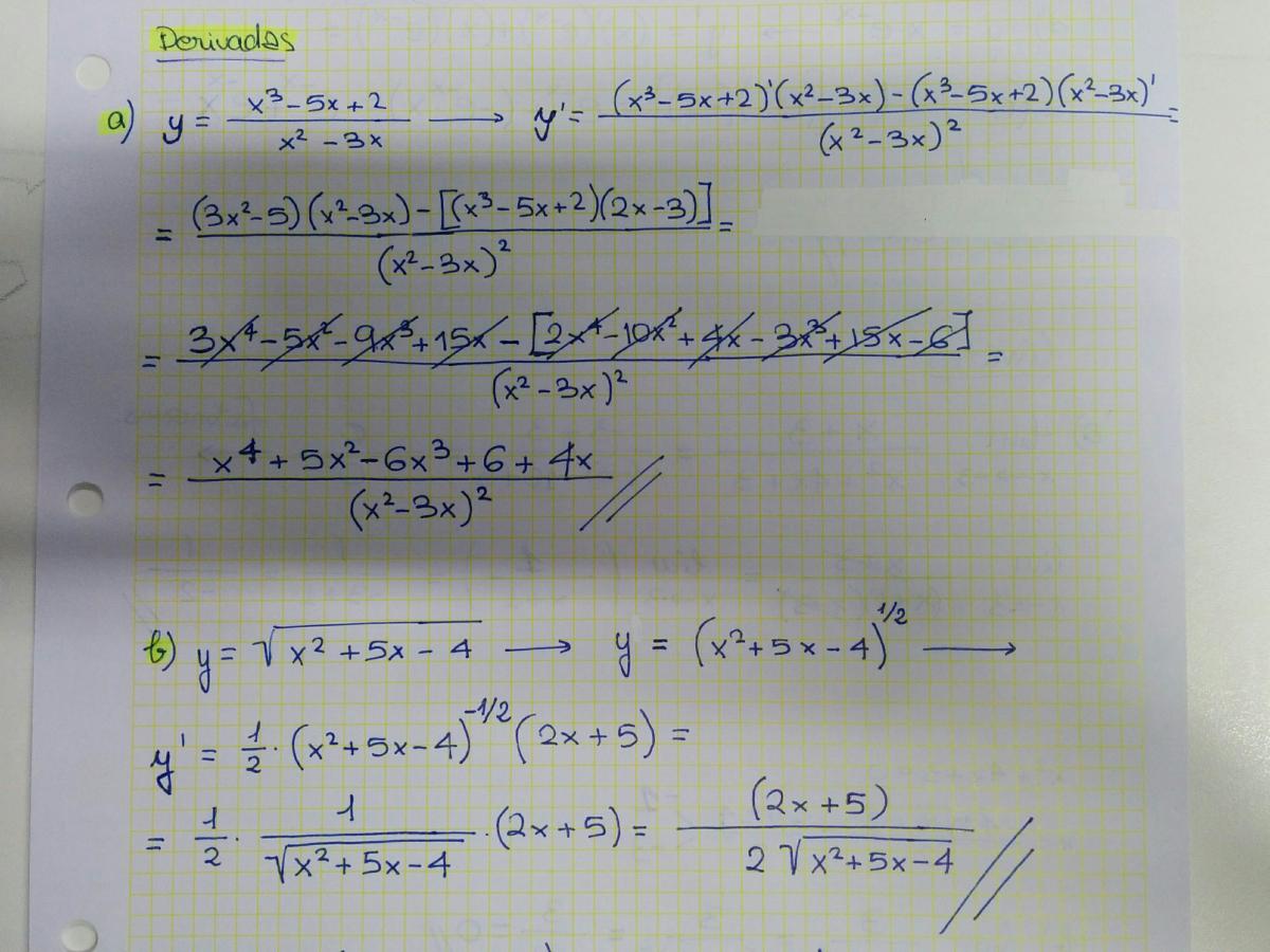
    el 18/9/17

    Hola Unicoos,

    Me podrían decir si simplificarían más estas derivadas y si tengo algún error.

    Muchísimas gracias.


    replythumb_up0 voto/sflag
    icon

    César
    el 18/9/17

    En la a) un pequeño fallo, pero simplificacion correcta

    la b) muy bien


    thumb_up1 voto/sflag
  • icon

    lbp_14
    el 18/9/17

    Hola Unicoos,

    Tengo bien estos límites?

    Muchas gracias 


    replythumb_up0 voto/sflag
  • icon

    Osmaynis Derken González
    el 18/9/17

    Si alguien me puede ayudar con este ejercicio se lo agradecería


    replythumb_up0 voto/sflag
    icon

    Ángel
    el 18/9/17

    a) El dominio de la relación S son los elementos que forman el conjunto B: a,b y c

    b) R-1= {1,2}

    d)    R•S (1)= R(S(1))= R(a) = 3     ,       R•S (2)= R(S(2))= R(a ∨ c) = 5



    thumb_up2 voto/sflag
  • icon

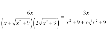
    Carmen
    el 18/9/17

    ¿Cómo puedo racionalizar esto?



    replythumb_up0 voto/sflag
    icon

    Ángel
    el 18/9/17


    thumb_up1 voto/sflag
  • icon

    Osmaynis Derken González
    el 18/9/17

    Hola unicoos alguien me puede ayudar en este ejercicio

    replythumb_up0 voto/sflag
    icon

    Ángel
    el 18/9/17


    Sólo ten en cuenta para adaptarlo totalmente a tu ejercicio que n2+n= n(n+1)

    thumb_up2 voto/sflag
  • icon

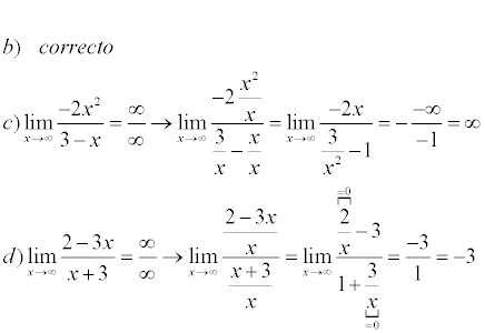
    lbp_14
    el 18/9/17

    Hola, no me acuerdo de los limites y nose si tengo bien este ejercicio.

    Muchísimas gracias. 


    replythumb_up0 voto/sflag
    icon

    Ángel
    el 18/9/17

    Correcto.

    thumb_up1 voto/sflag
  • icon

    lbp_14
    el 18/9/17

    Hola, 

    Me podéis derivar paso a paso e-x ?

    Porque creo que si tiene el signo menos ya no es elemental.

    Muchísimas gracias.

    replythumb_up0 voto/sflag
    icon

    Patri
    el 18/9/17

    Hola, 

    La fórmula es la siguiente: y' = f'(x)*ef(x), por lo tanto aplicándola: 

    y'=(-x)'*e-x  -> y'= -1*e-x -> y'=-e-x

    Espero que te quede más claro, 


    thumb_up2 voto/sflag
    icon

    Axel Morales Piñón.
    el 18/9/17
    flag

    ¿Con la definición de derivada?

    thumb_up1 voto/sflag
  • icon

    lbp_14
    el 18/9/17

    Hola Unicoos,

    Me podéis decir los fallos que tengo en estos dominios?

    Muchas gracias


    replythumb_up0 voto/sflag
    icon

    Ángel
    el 18/9/17

    El c) lo veo perfecto.

    En el d) ten en cuenta que ln(0) no está definido, por lo que 2-4x> 0  --------->     -4x> -2  ----->   4x < 2   -------->   x< 1/2

    Por lo que tienes que descartar el valor 1/2 y te queda que el dominio es (-inf, 1/2)

    thumb_up1 voto/sflag
  • icon

    lbp_14
    el 18/9/17

    Hola Unicoos,

    Me podéis decir los fallos que tengo en estos dominios?

    Muchas gracias 


    replythumb_up0 voto/sflag
    icon

    Ángel
    el 18/9/17

    En el a) te falta descartar del dominio el número cero (el cuál hallaste).   Dom= R-{ -1,0,1}

    En el b) tienes que descartar los valores de (-3, -2)...por ejemplo prueba con el x= -5/2= -2.5  y verás que te da valor negativo dentro de la raíz, lo cual contradice la restricción de mayor o igual

    Dom= (-inf,-3] U [-2,inf)


    thumb_up1 voto/sflag