Hola buenas tardes me podrian ayudar a resolver este ejercicio por favor, muchas gracias de antemano
Hola benas tardes podrian revisarme esta respuesta quiero saber si lo hice bien y si aplique correctamente las leyes
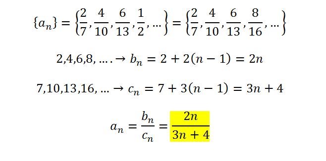
Inciso b)
----- Continuidad -----
Estudiar la discontinuidad de la siguiente función en el punto indicado.
Clasificar la discontinuidad.
f(x) = x sen(π/x) en x = 0.
Adelanto que la Rta es: DISCONTINUIDAD EVITABLE EN X=0.
Mi resolución:
f(0) = 0 sen(π/0) = No existe función en x=0
lim x sen(π/0) = 0 (∞)
x-->o+ En ambos limites tengo indeterminación.
lim x sen(π/0) = 0 (-∞)
x-->o-
Hola, a este problema le he dado mil y una vueltas y no se por donde empezar. El problema es el siguiente:
Un capital colocado al 4,25% anual de interés compuesto se ha convertido en 6 años en 6418,39 euros. de que capital se trata?
Ayuda porfiis ya he visto todos los videos de unicoos en yt y sigo sin saber que hacer
gRACIAS
Hola, tengo una duda de estadística.
Me dicen que la media de algo es 6 y que la varianza es 3.
Si multiplicamos cada valor del conjunto de la varianza por 4, ¿cuál es el valor de la media ahora? ¿y de la varianza?
¡Muchas gracias por la ayuda!

Consideramos un conjunto A con n elementos: x1, x2, ... , xn.
Y luego tienes un nuevo conjunto A1 con n elementos: 4x1, 4x2, ... , 4xn.
Luego, tienes la media:
μ = (x1+x2+ ... +xn)/n = 6;
y luego tienes la nueva media:
μ1 = (4x1+4x2+ ... +4xn)/n = 4(x1+x2+ ... +xn)/n = sustituyes = 4(6) = 24.
Luego, tienes la varianza:
σ2 = [(x1-μ)2+(x2-μ)2+ ... +(xn-μ)2]/n = [(x1-6)2+(x2-6)2+ ... +(xn-6)2]/n = 3;
y luego tienes la nueva varianza:
σ12 = [(4x1-24)2+(4x2-24)2+ ... +(4xn-24)2]/n,
extraes factor común 4 en los binomios, distribuyes los cuadrados entre sus factores, y queda:
σ12 = [16(x1-6)2+16(x2-6)2+ ... +16(xn-6)2]/n,
extraes factor común 16 en el numerador, y queda:
σ12 = 16*[(x1-6)2+(x2-6)2+ ... +(xn-6)2]/n = sustituyes = 16(3) = 48.
Espero haberte ayudado.

¡Hola! Nos encantaría ayudarte, pero no solemos responder dudas universitarias que no tengan que ver específicamente con los vídeos que David Calle ha grabado como excepción. O de otras asignaturas que no sean Matemáticas, Física y Química. Lo sentimos de corazón… Esperamos que lo entiendas.
Ojalá algún unicoo universitario se anime a ayudarte (de hecho, lo ideal es que todos los universitarios intentarais ayudaros los unos a los otros).

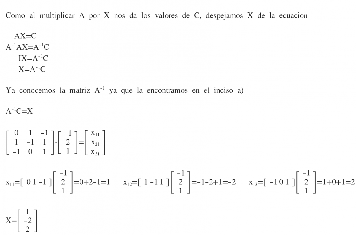
Observa que el conjunto: BU = {<2,0,1>} es una base del subespacio vectorial U.
Luego, tienes planteado: BW = {<2,-1,1>,<0,1,a>} que es una base del subespacio vectorial W.
Luego, plantea que los tres vectores que son elementos de las bases son linealmente independientes (recuerda que la dimensión de R3 es tres, por lo que su base debe tener tres elementos linealmente independientes), y para ello considera que el determinante, cuyas filas son las componentes de los vectores, debe ser distinto de cero:
D =
2 0 1
2 -1 1
0 1 a,
desarrollas el determinante y queda:
D = (-2a+0+2) - (0+0+2) = -2a + 2 - 2 = 2a;
luego tienes:
2a ≠ 0,
haces pasaje de factor como divisor y queda:
a ≠ 0.
Luego, puedes concluir que a puede tomar cualquier valor real, excepto cero.
Espero haberte ayudado.

Has planteado la expresión: R = a/h3, que corresponde a "la resistencia es directamente proporcional al ancho, e inversamente proporcional al cubo de su altura", y observa que no corresponde al enunciado.
Observa que en el enunciado tienes: "la resistencia es proporcional al ancho y al cubo de su altura", por lo que entendemos que la proporcionalidad es directa, y la expresión de la resistencia es;
R = k*a*h3, donde k es una constante de proporcionalidad.
Luego, has planteado correctamente la relación entre el ancho y la altura:
a = √(1600-h2) (1),
luego sustituyes y la expresión de la resistencia queda:
R = k*√(1600-h2)*h3,
luego derivas y queda:
R ' = k*(-2*h)/( 2*√(1600-h2) )*h3 + k*√(1600-h2)*3*h2,
reduces factores y simplificas en el primer término y queda:
R ' = - k*h4/√(1600-h2) + 3*k*h2*√(1600-h2);
luego, plantea la condición de punto crítico (posible máximo o posible mínimo):
R ' = 0,
sustituyes y queda:
- k*h4/√(1600-h2) + 3*k*h2*√(1600-h2) = 0,
haces pasaje de término y queda:
3*k*h2*√(1600-h2) = k*h4/√(1600-h2),
divides en ambos miembros por k*h2 y queda:
3*√(1600-h2) = h2/√(1600-h2),
haces pasaje de divisor como factor y queda:
3*(1600-h2) = h2,
distribuyes en el primer miembro y queda:
4800 - 3*h2 = h2,
haces pasajes de términos y queda:
- 4*h2 = - 4800,
haces pasaje de factor como divisor y queda:
h2 = 1200 (2),
haces pasaje de potencia como raíz y queda:
h = 20*√(3) cm;
luego, reemplazas el valor señalado (2) en la ecuación señalada (1) y queda:
a = √(1600-1200) = √(400) = 20 cm.
Espero haberte ayudado.