ayuda con el a porfavorr
la ecuacion para la posicion de una particula es s=2t^3 - 7t^2 + 4t + 1 con s en metros y t en segundos:
a. Encuentre la velocidad y la aceleracion en funcion de t
b. Trace los graficos de la posicion, la velocidad y la aceleracion en un mismo sistema de coordenadas
El tiempo de espera (en horas) de un pescador hasta pescar una trucha sigue una distribución exponencial de parámetro λ=2.
Si hace 5 horas que no ha pescado ninguna trucha, ¿cuál es la probabilidad de que consiga pescar la primera trucha durante la hora siguiente?
La distribución exponencial "no tiene memoria".
Si hace 5 horas que no ha pescado ninguna trucha, ¿cuál es la probabilidad de que consiga pescar la primera trucha durante la hora siguiente? =
= ¿cuál es la probabilidad de que consiga pescar la primera trucha durante la primera hora?
f(x) = 2*e-2t
p(X ≤ 1) = 0∫1 2*e-2*t*dt = | -e-2*t |10 = - e-2 - (-e0) = -1/e2 +1 ≅ 0.865
Hola, buenas noches, estoy haciendo un ejercicio de limites y no se que formula debo usar en el caso de que el resultado de un limite al sustituir me salga -9/0. Sabrias decirme? muchas gracias:)
Tienes que hacer los límites laterales, manda tu enunciado con tu solución para que te lo expliquemos mejor.
http://www.vitutor.com/fun/3/a_13.html

5)
Observa que tienes una indeterminación, ya que ambos términos tienden a infinito en la resta que tienes en el argumento del límite.
Luego, comienza por tratar cada término por separado:
3/(x-2) = multiplicas al numerador y al denominador por (x+2) = 3(x+2)/[(x-2)(x+2)] = (3x+6)/[(x-2)(x+2)] ,
12/(x2-4) = factorizas el denominador = 12/[(x-2)(x+2)];
luego plantea el argumento del límite:
3/(x-2) - 12/(x2-4) = sustituyes expresiones y queda:
= (3x+6)/[(x-2)(x+2)] - 12/[(x-2)(x+2)] = extraes denominador común y queda:
= (3x+6-12)/[(x-2)(x+2)] = reduces términos semejantes en el numerador y queda:
= (3x-6)/[(x-2)(x+2)] = extraes factor común en el numerador y queda:
= 3(x-2)/[(x-2)(x+2)] = simplificas y queda:
= 3/(x+2);
luego, tienes el límite:
Lím(x→2) [ 3/(x-2) - 12/(x2-4) ] = sustituyes = Lím(x→2) [ 3/(x+2) ] = 3/4.
Espero haberte ayudado.
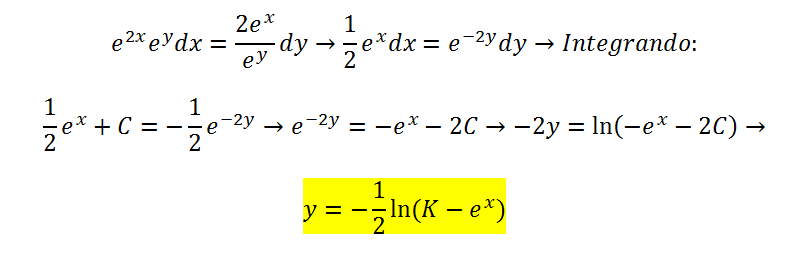
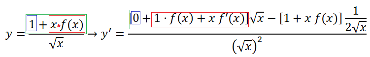
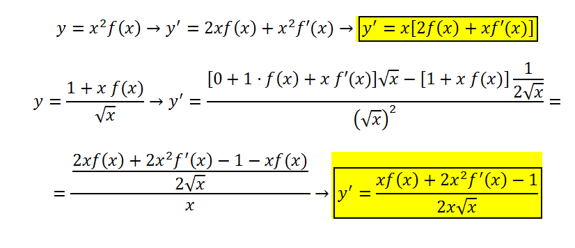
Hola buenas tardes mucho gusto, me podrian a yudar a terminar esta integral por favor, muchas gracias de antemano


¡Hola! Nos encantaría ayudarte, pero no solemos responder dudas universitarias que no tengan que ver específicamente con los vídeos que David Calle ha grabado como excepción. O de otras asignaturas que no sean Matemáticas, Física y Química. Lo sentimos de corazón… Esperamos que lo entiendas.
Ojalá algún unicoo universitario se anime a ayudarte (de hecho, lo ideal es que todos los universitarios intentarais ayudaros los unos a los otros).

Vas muy bien, y todo tu desarrollo está correcto.
Luego, plantea que el argumento de la integral es la expresión de la derivada de un producto de funciones: (u*v) ' = u ' * v + u * v ',
luego, comparas los factores del primer término y tienes:
u ' = 3*√(x) = 3*x1/2, integras y tienes: u = 2*x3/2;
v = (x-senx)3/2, derivas y tienes: v ' = (3/2)*(x-senx)1/2*(1-cosx);
luego, observa que el primer término del argumento de la integral corresponde a:
u ' * v = 3*√(x) * (x-senx)3/2;
luego, observa que el segundo término del argumento de la integral corresponde a:
u * v ' = 2*x3/2 * (3/2)*(x-senx)1/2*(1-cosx) = 3*x3/2*(x-senx)1/2*(1-cosx);
luego, continúas el desarrollo, y tienes que tu última integral corresponde a:
∫ ( u ' * v + u * v ' )*dx = ∫ (u*v) ' * dx = u*v + C = sustituyes = 2*x3/2 * (x-senx)3/2 + C.
Espero haberte ayudado.