Foro de preguntas y respuestas de Matemáticas

logo beUnicoos
Los foros de unicoos se han unificado en nuestra nueva plataforma beUnicoos. Para dejar nuevas preguntas deberás hacerlo allí, donde además podrás encontrar nuevas asignaturas y herramientas para ayudarte más con tus estudios.

  • icon

    Dm2000
    el 28/10/19


    replythumb_up0 voto/sflag
    icon

    Miguel Fuego
    el 28/10/19

    Todos son casos del teorema de Bolzano. Si quieres comprobar, por ejemplo, si una función toma el valor 1/2 en alguna parte del intervalo (0,1), solo tienes que comprobar que f(0) vale menos que 1/2 y f(1) vale más que 1/2 o viceversa (siempre que la función sea continua).

    thumb_up0 voto/sflag
    icon

    César
    el 28/10/19


    thumb_up0 voto/sflag
  • icon

    Patricia Rossato
    el 28/10/19

    Hola! Me ayudan a derivar esta función..?

    Muchas gracias!

    Patri

    replythumb_up0 voto/sflag
    icon

    Clow
    el 28/10/19

    Derivada de un cociente. 

    Intenta avanzar un poco para agarrar más práctica. Como puede resultar largo, te recomiendo derivar por partes y luego juntar todo según la fórmula que te dejé arriba. Es decir. primero deriva el numerador, luego deriva el denominador, y después planteas.

    Tanto en el numerador como en el denominador tienes la derivada de un producto. Así que comienza derivando por separado todos los factores y luego la formula:

    Resultado de imagen para derivada de un producto

    Lo único que podría presentarte un problema al derivar es la raíz cúbica, recuerda que se deriva como: 

    Eso puedes deducirlo reescribiendo la raíz cúbica como potencia y derivando la potencia.

    El resto de cosas, por tus ejercicios previos, ya sabes derivarlas. Sería operar y cualquier duda preguntas! Saludos.

    thumb_up1 voto/sflag
    icon

    César
    el 28/10/19


    thumb_up1 voto/sflag
  • icon

    Patricia Rossato
    el 28/10/19

    Hola a todos!

    He derivado esta función, mi pregunta es si el último paso que hice es correcto (la simplificacion) o lo dejo donde coloqué el tilde.

    Gracias!! Patri

    replythumb_up0 voto/sflag
    icon

    Clow
    el 28/10/19

    La factorización del x^2 está bien, en el segundo término del numerador no veo bien qué hiciste con el x^3.

    thumb_up1 voto/sflag
    icon

    César
    el 28/10/19


    thumb_up1 voto/sflag
  • icon

    Rem
    el 28/10/19

    me ayudais con este ejercicio por favor ? 

    replythumb_up0 voto/sflag
    icon

    Antonius Benedictus
    el 28/10/19


    thumb_up0 voto/sflag
  • icon

    d tavare
    el 27/10/19

    Hola por favor me ayudas con los que podais?


    replythumb_up0 voto/sflag
    icon

    Clow
    el 28/10/19

    En el 49 el dominio son todos los reales positivos, es decir, todos los reales menos el cero. Para la intersección con el eje x, la coordenada en y debe ser 0, así que igualas a 0 la expresión y despejas x, resultando que la intersección es en x=1/e^2

    En el 50 el dominio son todos los reales menos el 1. Y la intersección en x es x=e+1



    thumb_up0 voto/sflag
    icon

    Clow
    el 28/10/19

    Las gráficas puedes hacerlas en Geogebra si te lo permiten https://www.geogebra.org/graphing?lang=es. De otra manera haces el estudio analítico y a partir de los datos graficas.

    thumb_up0 voto/sflag
  • icon

    Domingos
    el 27/10/19

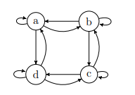
    Por qué está relación es transitiva? aRb y bRc pero a no está relacionada con c. Gracias.

    comment

    replythumb_up0 voto/sflag
    icon

    Jose Ramos
    el 27/10/19

    No es transitiva por la razón que apuntas. En el grafo, en efecto, no se une a con c. Creo que cometí un error en una respuesta anterior y te dije que era transitiva. No lo es.


    thumb_up0 voto/sflag
  • icon

    Domingos
    el 27/10/19

    Por qué está relación es transitiva? aRb y bRc pero a no está relacionada con c. Gracias.

    replythumb_up0 voto/sflag
    icon

    Jose Ramos
    el 27/10/19

    vuelve a enviar el grafo. Está completamente distorsionado

    thumb_up0 voto/sflag
    icon

    Domingos
    el 27/10/19


    thumb_up0 voto/sflag
  • icon

    Dm2000
    el 27/10/19


    replythumb_up0 voto/sflag
    icon

    Jose Ramos
    el 27/10/19


    thumb_up0 voto/sflag
    icon

    Antonius Benedictus
    el 27/10/19


    thumb_up0 voto/sflag
  • icon

    Dm2000
    el 27/10/19


    replythumb_up0 voto/sflag
    icon

    Jose Ramos
    el 27/10/19


    thumb_up0 voto/sflag
  • icon

    Dm2000
    el 27/10/19

    Con infinitésimos :


    replythumb_up0 voto/sflag
    icon

    Jose Ramos
    el 27/10/19


    thumb_up0 voto/sflag
    icon

    Antonius Benedictus
    el 27/10/19


    thumb_up0 voto/sflag