Hola!
Tengo dudas en este tipo de ejercicios en los que piden calcular el porcentaje de valores incluidos en un intervalo (pego un ejemplo):
Mi duda es por qué algunas veces no se cuenta la última frecuencia, por ejemplo en el caso b), el intervalo es de (0,9;7,98), ¿por qué no corresponde el 100%?.
En el examen de variables estadísticas que proponéis en Unicoos, precisamente hay un ejercicio similar, que yo tenía mal porque habría que haber contado la frecuencia del último intervalo y yo no lo hice... y no era tan evidente como en este caso. (Siento no poder pegarlo, porque lo he debido de tirar...).
Muchas gracias!!!
P.D. Si colgarais un vídeo sería genial!!!

A efectos de cálculo del porcentaje, solo se toman las frecuencias de los intervalos de la distribución de partida, siempre y cuando el intervalo donde se estudia el porcentaje contenga en su totalidad a los mismos.
En el ejemplo b el intervalo (0,9; 7,98) no contiene en su totalidad al último [7,8) por eso no lo toma pese a que le faltan dos décimas.
Sin duda se está cometiendo un error por defecto. Es posible que en algún otro estudio de este tipo se haga una estimación de la frecuencia asociada a un subintervalo, pero aquí no es el caso.
Hola unicoss,en azul puse el grafico correspondiente pero ,no me esta dando el resultado,porque la respuesta es 1/2 y a mi me da 7/16, yo estoy restandole a 4 el area del triangulo hasta llegar a 3 y me da 7/16,que estoy haciendo mal?,graciass¡

ohhh Nose porque se subio esa imagen
era esta la imagen y mi pregunta es"en azul puse el grafico correspondiente pero ,no me esta dando el resultado,porque la respuesta es 1/2 y a mi me da 7/16, yo estoy restandole a 4 el area del triangulo hasta llegar a 3 y me da 7/16,que estoy haciendo mal?,graciass¡" esa era mi pregunta me habia equivocado en la imagen

Estás confundiendo la función de densidad f(x) con la función de distribución F(x). En el ejercicio te piden f(4), es decir la función de densidad en 4 y el resultado es 1/8. 4 = 4/8 = 1/2.
Otra cosa es la función de distribución en 4 que sería F(4) = 1 que es toda la probabilidad acumulada hasta 4.
Tienes mal la escala de la función de distribución en el eje Y. Sería así:
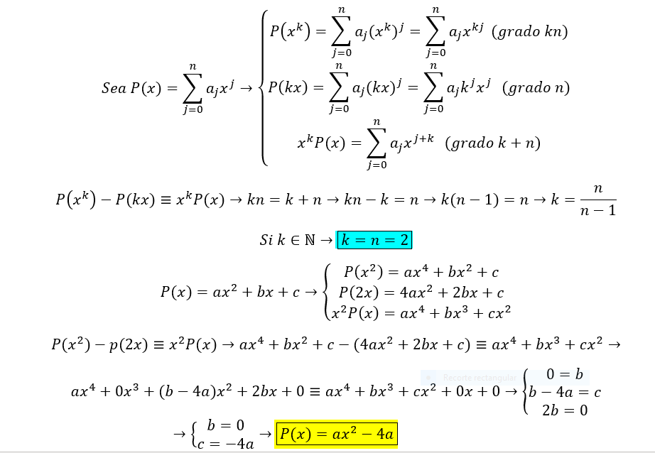
¿Qué polinomios cumplen que P(xk) - P(kx) = xk P(x)?
Hola unicoss, me podrian explicar porque P(X=2)es igual a 0 ,en los dos casos?,ya puse los datos correspondientes en rojo,desde ya muchas gracias

En las variables aleatorias continuas, la probabilidad de un valor concreto del recorrido de la variable siempre es 0.
Se puede afirmar en general que si X es una variable aleatoria continua entonces P (X = a) = 0, siendo a cualquier número real.
Una razón "no muy ortodoxa" es decir que hay 1 caso favorable e infinitos posibles, por tanto la probabilidad de ese caso sería 1/∞ = 0