Hola buenas tardes este es la imagen del problema pero estamos viendo un tema de vectores en mate
no se como resolverlo si me pudieran ayudar por favor
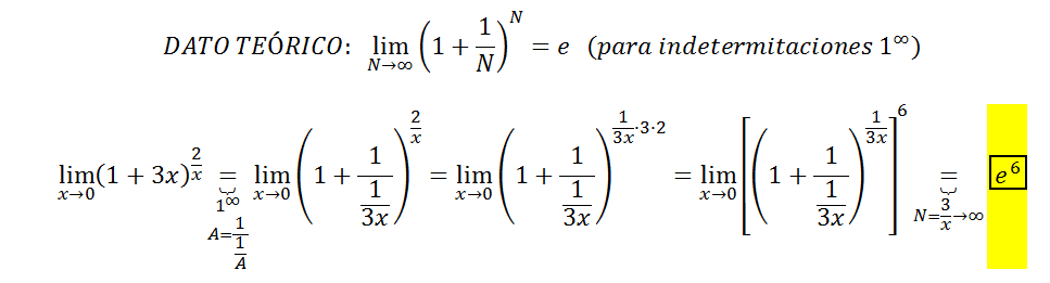
Hola buenas, soy nueva por aquí, ya que últimamente las matemáticas no se me están dando nada bien, y bueno necesito ayuda con los limites ya que ahora mismo estoy haciendo unos ejercicios que es el siguiente:
Lim de x cuando tiende a 0 de (1+ 3x) elevado a 2/x
Vale? una vez que sustituyo por 0, me da : 1 elevado a 2/0
¿Ahora que tengo que hacer? Me ayudaríais muchísimo si alguien supiera hacerlo, muchas gracias!
2/0 = ∞
por lo tanto, te queda
1 ∞
que es una indeterminación
y para resolverlo:
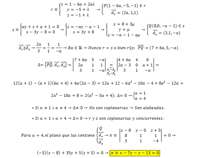
Limite UNO ELEVADO a INFINITOHola que tal, necesito ayuda con este ejercicio, mas que nada con el punto a) . Hasta ahora lo unico que hice fue obtener la ecuación vectorial de la recta s. la cual me dio s: (x,y,z)=(8, 0, -1-a) + α(3, 1, -a) y obtener un vector a partir de los puntos de ambas rectas el cual me dio (-6a+7, 5, -a). Desde ahi no se como continuar
Buenas, me da vergüenza volver a preguntarlo, pero es que llevo todo el día y no consigo averiguarlo...alguien me lo puede explicar?
El ejercicio es : Hallar el volumen del sólido comprendido entre las superficies: z=x2+6y2; x2+4y2=4 ; z=0 (empleando integral triple)
Muchas gracias.

Muchas gracias, el problema es que no consigo dar con lo límites de integración.
En principio pensé que eran estos: x2+ 6y2 ≤ z ≤ 4- x2+ 4y2 ; -√(2-5y2) ≤ x ≤ √(2-5y2) ; -√(2/5) ≤ y ≤ √(2/5) pero no me da el resultado que se supone que tiene que dar.
Se agradece el interés de ayuda de toda formas :)
Buenos Tardes/dias/noches, Alguien porfavor me podria ayudar resolviendo esta sumatoria, he intentado hacerlo, y crei que esta expresión era la media de x al cuadrado, pero en realidad no es así, por favor alguien podria decirme como se soluciona esta sumatoria
Hola, una pregunta de estadística:
El diagrama de tallo y hojas lo entiendo ejemplo: 123, el 12 es el tallo y el 3 la hoja... pero si es un unico numero, por ejemplo 2 u 8, como lo considerariamos, tallo u hoja?
Gracias
Dentro de una unidad cuadrada, hay una serie infinita de cuadrados, cada uno con lados 3/4 de los lados del cuadrado un tamaño más grande. Sus posiciones están en la parte superior, a la derecha, en la parte inferior, a la izquierda, en la parte superior de nuevo, y así sucesivamente, centrado en el lado que están en. A medida que el tamaño de los cuadrados va a cero, su ubicación converge en un punto (x, y), donde el origen del sistema de coordenadas es la esquina inferior izquierda del cuadrado original.
Si la relación x / y puede ser expresada como a / b, donde a y b son enteros positivos primos entre si, da su respuesta como a + b.
Matemáticas, creo que como sigas preguntando nada más que cosas que o no llegan a contenido de Unicoos o lo sobrepasan...va a llegar el día en que ponga la opción de banear y te van a echar, lo digo de buenas.
Como recomendación , ya que estás estudiando la carrera de mates: yo que tú empezaría trillando lo más básico, ve preguntando sobre dudas que te surjan para afianzar tus conocimientos ; tranquilo que todo llega y sabrás solucionar problemas cada vez más complejos
Y otra cosa...como bien te apuntaron por aquí, la norma básica de convivencia en un foro es ya que pides tantísimo, dar (responder alguna pregunta) de vez en cuando
Un saludo, tocayo :)