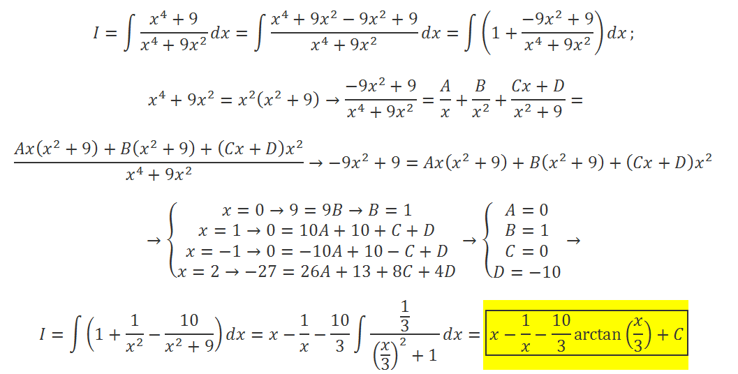
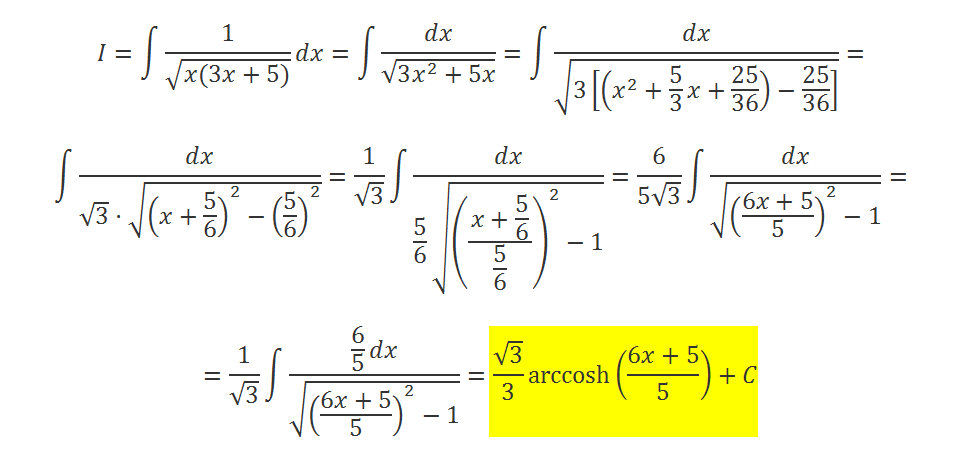
Como se resolveria este ejercicio,
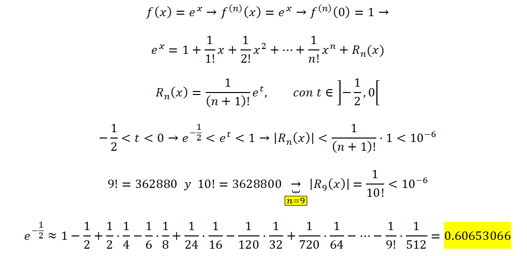
Encuentra el valor de e^(-1/2) a travez del desarrollo en polinomio de taylor, considerando un error menor de un millonesimo.
Vi el video de Unicoos con respecto a esto, pero se me hizo imposible aplicar el la formula del error deLagrange ya que no se cuanto vale n!
GRacias!
Hola, buenas. Me dejaron que diseñara un autómata con ciertas características pero me ha salido mal, el problema es el siguiente:
Y este es el resultado que me quedó a mi:
Pero me ha salido mal, alguien me puede decir en qué paso me he equivocado y cómo puedo corregir para cumplir con todas las características solicitadas?
Gracias de antemano .

Se sustituye
Para la suma de R(x) y S(x)
R(x)+S(x)=(-5√3x - 3√3 x2 + 4√3 x3 -5x4) + (2√3x -1 - 4√3x3 +x2)
Luego reducimos términos semejantes....
R(x)+S(x)= -3√3x - (1 + 3√3)x2 - 5x4 - 1
Luego se ordena el polinomio.. R(x)+S(x)= - 5x4 - (1 + 3√3)x2 -3√3x - 1
De manera similares es la resta..
R(x) - S(x)=(-5√3x - 3√3 x2 + 4√3 x3 -5x4) - (2√3x -1 - 4√3x3 +x2)
R(x) - S(x)= -7√3x + (1 - 3√3)x2 - 5x4 + 1 + 8√3x3
Así mismo se ordena el polinomio. R(x) - S(x)= - 5x4 + 8√3x3 + (1 - 3√3)x2 -7√3x + 1
Espero haber ayudado
Hola!
¿Alguien podría ayudarme con el desarrollo de este ejercicio?
A partir de donde pone "Despejando S² y operando" es cuando empiezo a tener problemas. Parece que en el primero paso hace una suma por diferencia que no acabo de entender muy bien (nunca había visto que se podía hacer una identidad notable con un trinomio)
Una vez conseguido ese primer paso, sí que entiendo que lo deje en forma [(a+c)²-b²][b² - (a-c)²], pero de nuevo no entiendo como pasa al siguiente.
Muchas gracias!!

Me encantaría ayudarte, pero no respondo dudas universitarias que no tengan que ver específicamente con los videos que ya he grabado como excepcion. O de otras asignaturas que no sean matemáticas, física y química. Lo siento de corazón… Espero lo entiendas
Ojalá algun unicoo universitario se anime a ayudarte (de hecho lo ideal es que todos los universitarios intentarais ayudaros los unos a los otros)
Hola, buenas. Mi profesor nos dejó diversos problemas aleatorios, entre ellos uno donde debo determinar el tipo de distribución de unas figuras basadas en una población. Sinceramente no entiendo en qué me tengo que basar para poder responder esas preguntas, alguien me puede ayudar a saber de qué tipo es cada una de las dos figuras que dejo a continuación?
Problema:
Figuras:
Gracias de antemano!!
Si te piden evaluar el diagrama de dispersión visualmente: ![]()
Creo que Antonio acertó de pleno
Y si te piden que lo hagas disponiendo de una tabla de datos (si es en casos con más de 20 datos como tu ejercicio y eres de Universidad), utiliza por ejemplo el programa SPSS Statistics y realiza el coeficiente de correlación de Pearson y...para que te quedes con la idea: cuanto más se acerque Pearson a cero, menos lineal y más disperso será el diagrama de dispersión
Para concretar más: https://es.wikipedia.org/wiki/Coeficiente_de_correlaci%C3%B3n_de_Pearson
Esos diagramas en concreto son capturas de imagenes en internet.
Puedes generar gráficos idénticos importando tablas de datos de excel o tecleando a mano desde el programa spss statistics ( https://ibm-spss-statistics.softonic.com/descargar)
Te paso unos apuntes para que puedas hacerlo: