Foro de preguntas y respuestas de Matemáticas

logo beUnicoos
Los foros de unicoos se han unificado en nuestra nueva plataforma beUnicoos. Para dejar nuevas preguntas deberás hacerlo allí, donde además podrás encontrar nuevas asignaturas y herramientas para ayudarte más con tus estudios.

  • icon

    Alejandro
    el 7/2/17

    Hola. En un espacio vectorial, si la base calculada tiene un unico vector como la paso a base ortonormal? Si no me equivoco con gram schmidt (para hacerla ortogonal) el primer vector de la base se queda igual (y es el unico que tenemos en este caso). Entonces solo habria que dividir por su modulo? Gracias.

    replythumb_up0 voto/sflag
    icon

    Antonius Benedictus
    el 7/2/17

    Tienes que normalizarlo, esto es, dividir sus coordenadas entre su módulo.

    thumb_up1 voto/sflag
  • icon

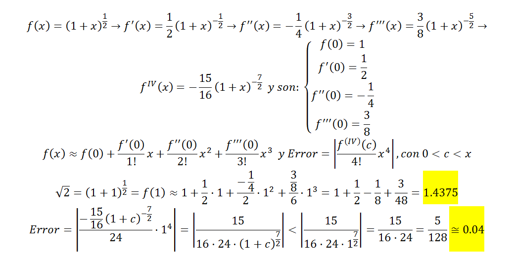
    Marcos
    el 7/2/17

    Hola una duda de universidad.

    Sea f(x)= (1+x)1/2 . Usando el polinomio de Taylor de orden 3 de f, centrado en a=0, calcular el valor aproximado de √2 que da dicho polinomio, y estimar el error en esta aproximación.

    replythumb_up0 voto/sflag
    icon

    Antonius Benedictus
    el 7/2/17


    thumb_up0 voto/sflag
  • icon

    Toby
    el 7/2/17

    Buen día, pido ayuda con problema que parece fácil pero no me dá, la respuesta o no estoy convencid bien...

    Se conoce que 16 obreros pueden hacer una obra en 40 días. Si después de 10 días de trabajo se retiran 6 obreros, la cantidad de días de retraso con que se entregó la obra fue:

    a.) 10

    b.) 18

    c.) 20

    d.) 48

    e.) 58


    Gracias a ustedes..

    replythumb_up0 voto/sflag
    icon

    Antonius Benedictus
    el 7/2/17


    thumb_up0 voto/sflag
  • icon

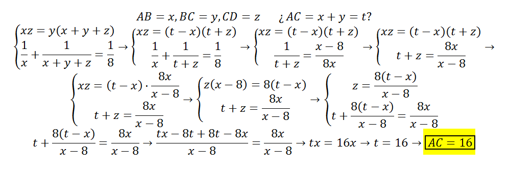
    Sofia Enriquez
    el 7/2/17

    Sobre una recta se consideran 4 puntos consecutivos A, B, C y D con la siguiente condicion: AB . CD = BC . AD Ademas: 1/AB + 1/AD = 1/8 Hallar AC, gracias de antemano

    replythumb_up0 voto/sflag
    icon

    Antonius Benedictus
    el 7/2/17


    thumb_up0 voto/sflag
  • icon

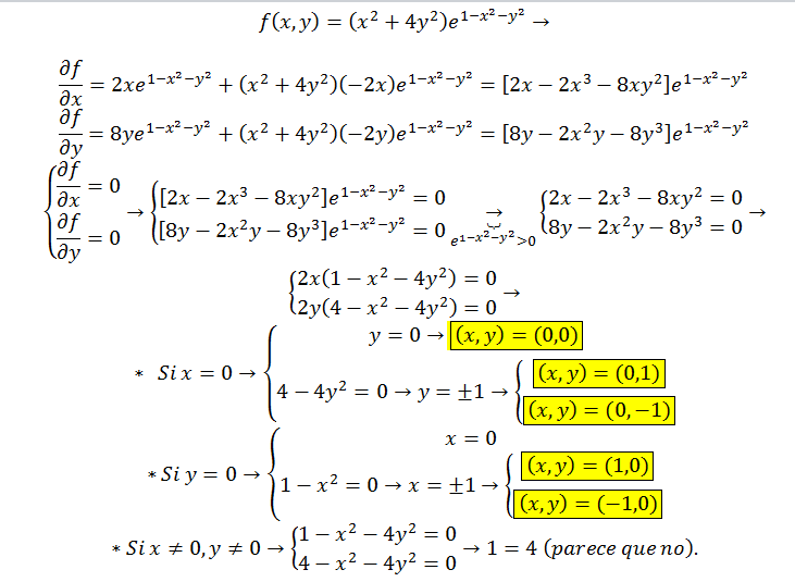
    Yiyi
    el 7/2/17

    Me pueden ayudar a encontrar los valores de "x" & "y" , es para encontrar la naturaleza de los puntos críticos de la función, se todo el proceso, solo me atore al encontrar los puntos críticos.



    replythumb_up0 voto/sflag
    icon

    Antonius Benedictus
    el 7/2/17


    thumb_up1 voto/sflag
  • icon

    Oscar Yoan Chipana Ramos
    el 7/2/17

    ¿como se resuelve? un comprador de ladrillos cree que la calidad de los ladrillos esta disminuyendo. De experiencias anteriores, la resistencia media al desmoronamiento de tales ladrillos es de 200 Kg. con una desviacion tipica de 10 Kg. una muestra de 100 ladrillos arroja una media de 195 Kg. Probar la hipótesis de que la calidad media no ha cambiado, contra la alternativa que ha disminuido. nivel de significación = 0.05 

    replythumb_up0 voto/sflag
    icon

    Antonius Benedictus
    el 7/2/17


    thumb_up0 voto/sflag
  • icon

    Maria
    el 7/2/17

    No entiendo como esta resuelto yo lo paso restando y la solucion ×=0 no me da 

    replythumb_up0 voto/sflag
    icon

    Gabriel
    el 7/2/17

    Mira...

    cuando tenes este tipo de polinomio x(x-1)=0

    Las soluciones serian,los valores que hacen cero a dicho polinomio. Ahi vos tenes x(x-1)

    Una x multiplicando al parentesis, y las soluciones serian los valores que anulen esa expresion.

    El valor dentro del parentesis anularia a la expresion seria 1 , porque si x=1......(1-1)=0  y  x(1-1)=0..porque cualquier numero multilicado por cero es cero.

    Pirmera solucion entonces x=1

    Despues te queda la x que multiplica al parentesis, que valor haria que se anule la expresion? El 0...porque  0(x-1)=0

    Entonces segunda solucion x=0

    thumb_up0 voto/sflag
  • icon

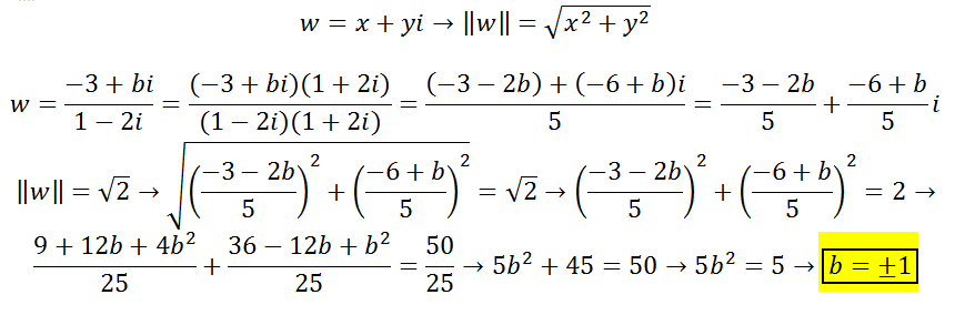
    lbp_14
    el 7/2/17

    Hola Unicoos, me podrían ayudar paso a paso, el enunciado dice Calcula el valor de b para que el módulo de (-3+bi)/(1-2i) sea igual a (√2)

    replythumb_up0 voto/sflag
    icon

    Antonius Benedictus
    el 7/2/17


    thumb_up1 voto/sflag
  • icon

    Luis
    el 7/2/17
    flag

    Hola quisiera me pudieran ayudar a encontrar la funcion a partir de la grafica, necesito hacer unos limites pero me pusieron una grafica y no entiendo mucho.


    Gracias de antemano

    replythumb_up0 voto/sflag
    icon

    David
    el 9/2/17

    Si no nos dejas el enunciado... 

    thumb_up1 voto/sflag
  • icon

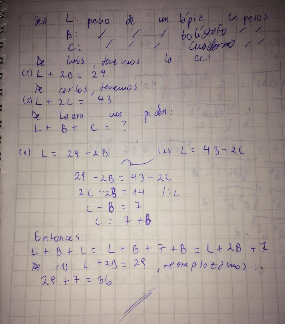
    JUAN AMPIE
    el 7/2/17

    Una ayuda por favor y gracias

    En la papelería escolar , Luis pago 29 pesos en la compra de un lápiz y 2 bolígrafos , Carlos pago 43 pesos por un lápiz y 2 cuadernos. ¿cuanto gasto Laura en la compra de un lápiz, un bolígrafo y un cuaderno?

    replythumb_up0 voto/sflag
    icon

    Matías Ignacio Loyola Galdames
    el 7/2/17

    Resp: 36 pesos. Ojalá entiendas:



    thumb_up1 voto/sflag
    icon

    JUAN AMPIE
    el 7/2/17

    Muchas gracias amigo

    thumb_up1 voto/sflag