Foro de preguntas y respuestas de Matemáticas

logo beUnicoos
Los foros de unicoos se han unificado en nuestra nueva plataforma beUnicoos. Para dejar nuevas preguntas deberás hacerlo allí, donde además podrás encontrar nuevas asignaturas y herramientas para ayudarte más con tus estudios.

  • Usuario eliminado
    el 4/2/17

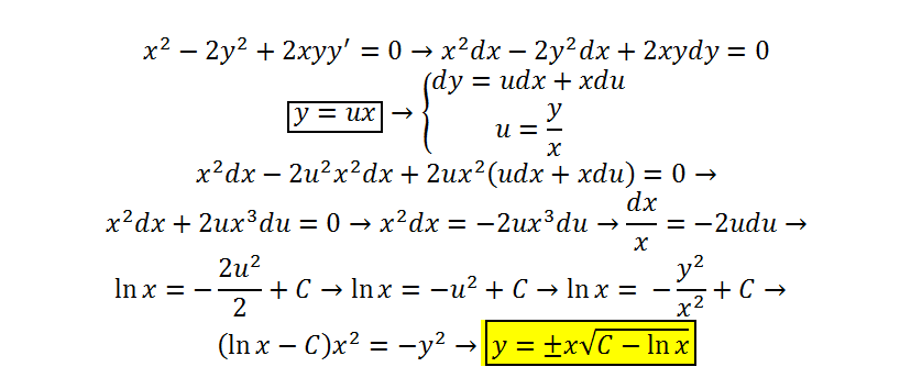
    Buenas, traigo otra ecuación diferencial para que me corrijáis:



    replythumb_up0 voto/sflag
    icon

    Axel Morales Piñón.
    el 4/2/17


    thumb_up1 voto/sflag

    Usuario eliminado
    el 4/2/17

    ¿Por qué es homogénea y no lineal?

    thumb_up1 voto/sflag
  • icon

    Bet
    el 4/2/17


    Buenas, por qué la 2) es verdadera?

    replythumb_up0 voto/sflag
    icon

    Antonius Benedictus
    el 4/2/17

    Lo verás:


    thumb_up0 voto/sflag
    icon

    Bet
    el 5/2/17

    Gracias!

    thumb_up0 voto/sflag
  • Usuario eliminado
    el 4/2/17

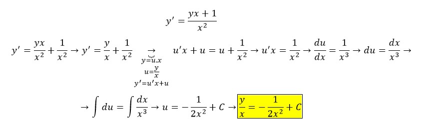
    ¿Me podéis corregir esta ecuación diferencial?



    replythumb_up0 voto/sflag
    icon

    Antonius Benedictus
    el 4/2/17

    Va la corrección, Álex. He puesto x en vez de t.


    thumb_up0 voto/sflag

    Usuario eliminado
    el 4/2/17

    Muchas gracias, Antonio. Una duda: ¿por qué la x tiene ±?

    thumb_up0 voto/sflag
    icon

    Axel Morales Piñón.
    el 4/2/17

    Por la raíz cuadrada Alex.

    thumb_up1 voto/sflag
  • icon

    Luis
    el 4/2/17

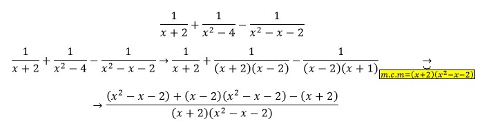
    También necesito ayuda con esta. Gracias de antemano.


    replythumb_up0 voto/sflag
    icon

    Ángel
    el 4/2/17


    thumb_up0 voto/sflag
    icon

    Luis
    el 4/2/17

    Muchas gracias, Maths.

    thumb_up0 voto/sflag
  • icon

    Luis
    el 4/2/17


    replythumb_up0 voto/sflag
    icon

    Ángel
    el 4/2/17


    thumb_up0 voto/sflag
    icon

    Axel Morales Piñón.
    el 4/2/17


    thumb_up1 voto/sflag
    icon

    Luis
    el 4/2/17

    Muchas gracias Axel.

    thumb_up0 voto/sflag
  • icon

    Luis
    el 4/2/17


    replythumb_up0 voto/sflag
    icon

    Ángel
    el 4/2/17


    thumb_up0 voto/sflag
    icon

    Luis
    el 4/2/17

    Muchas gracias, Maths, pero no entiendo el procedimiento. ¿Me lo podrías explicar brevemente? Gracias de antemano.


    thumb_up0 voto/sflag
    icon

    Ángel
    el 4/2/17


    thumb_up0 voto/sflag
    icon

    Luis
    el 4/2/17

    Muchísimas gracias, Maths.

    thumb_up0 voto/sflag
  • icon

    Luis
    el 4/2/17


    replythumb_up0 voto/sflag
    icon

    Ángel
    el 4/2/17


    thumb_up0 voto/sflag
    icon

    Luis
    el 4/2/17

    Gracias Maths, pero tengo una duda: ¿x- 3/2 en el denominador no va cambiado de signo?

    thumb_up0 voto/sflag
    icon

    Ángel
    el 4/2/17

    Cierto. Error mío, sorry :)

    thumb_up0 voto/sflag
    icon

    Luis
    el 4/2/17

    No importa, Maths.

    thumb_up0 voto/sflag
  • icon

    Luis
    el 4/2/17


    replythumb_up0 voto/sflag
    icon

    Ángel
    el 4/2/17


    thumb_up0 voto/sflag
    icon

    Luis
    el 4/2/17

    Muchas gracias, Maths.

    thumb_up0 voto/sflag
  • icon

    José Carlos Castillo
    el 4/2/17

    Podrian orientarme sobre como resolver este determinante sin usar cofactores (adjuntos)



    replythumb_up0 voto/sflag
    icon

    Antonius Benedictus
    el 4/2/17


    thumb_up0 voto/sflag
    icon

    José Carlos Castillo
    el 5/2/17

    Parece ser correcto el procedimiento pero el resultado tendría que ser 30, de hecho haciendolo por cofactores sale 30, pero ya llevo horas rompiendome la cabeza tratando de hacerlo por otros meétodos y no llego al resultado correcto sin usar el método de cofactores


    thumb_up0 voto/sflag
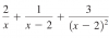
  • Usuario eliminado
    el 4/2/17

    ¿Podéis corregirlo?



    replythumb_up0 voto/sflag
    icon

    Andres Valenzuela
    el 4/2/17

    No,no, no está bien, justo al final te confundes en algo básico, 

    (1+y)2=1+2y+y2       no es igual  a lo que tienes ahí

    Pero no es necesario hacer la potencia, solo por corregirte y para que sepas de cultura general, integra usando la fórmula ∫ vdv 

    v=1+y , dv=dy, n=2 


    thumb_up0 voto/sflag