Foro de preguntas y respuestas de Matemáticas

logo beUnicoos
Los foros de unicoos se han unificado en nuestra nueva plataforma beUnicoos. Para dejar nuevas preguntas deberás hacerlo allí, donde además podrás encontrar nuevas asignaturas y herramientas para ayudarte más con tus estudios.

  • icon

    Albano Caminos
    el 29/1/17

    Buenas tardes, me gustaría que me den una mano con este problema de ecuaciones! Muchas gracias! Los ejercicios son el 13 y 14

    replythumb_up0 voto/sflag
    icon

    Antonius Benedictus
    el 29/1/17


    thumb_up0 voto/sflag
  • icon

    Manu
    el 29/1/17

    Buenos días.

    Me puede decir alguien cómo se redactaría este problrma de trigonometría, gracias.



    replythumb_up0 voto/sflag
    icon

    Antonius Benedictus
    el 29/1/17

    En un terreno llano, una persona divisa una torre de 15 metros bajo un ángulo de 2º.

    ¿A qué distancia se encuentra del pie de la torre?

    thumb_up1 voto/sflag
  • icon

    Maria
    el 29/1/17

    porqué no se puede hacer así?

    replythumb_up0 voto/sflag
    icon

    Antonius Benedictus
    el 29/1/17


    thumb_up1 voto/sflag
    icon

    Axel Morales Piñón.
    el 29/1/17


    thumb_up1 voto/sflag
  • icon

    Pilar
    el 29/1/17

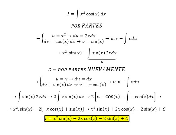
    Esta bien hecha la integral siguiente ? 

    replythumb_up0 voto/sflag
    icon

    Antonius Benedictus
    el 29/1/17


    thumb_up1 voto/sflag
  • icon

    Manu
    el 29/1/17

    Buenos días.

    Puede decirme alguien si está correcto este ejercicio porque la calculadora, lo último del ejercicio,  la tangente de 60 por el cateto b, no me da lo mismo.

    un saludo.


    replythumb_up0 voto/sflag
    icon

    Ángel
    el 29/1/17

    Está bien, y recuerda lo del anterior ejercicio...verifica que no tengas la calculadora en radianes, suele pasar...

    thumb_up1 voto/sflag
  • icon

    Andres Valenzuela
    el 29/1/17

    Primer problema Determine cuales de las siguientes oraciones (preposiciones) son correctas. Respecto al grafico de funciones trigonométricas.

    a.) Ciclo es lo mismo que periodo.

    b.) El valor máximo de la función f(x)= 3 cos(x-π/2)-1 es y=3, o el valor mínimo de esta expresión es y=-4.

    c.) f(x)= cos (2x-π/2) es una  función que tiene período fundamental T=π y un desplazamiento horizontal de π/2 unidades hacia la derecha.


    Gracias

    replythumb_up0 voto/sflag
    icon

    Antonius Benedictus
    el 30/1/17


    thumb_up0 voto/sflag
  • icon

    Manu
    el 29/1/17

    Buenos días.

    Puede decirme alguien si está correcto este ejercicio porque la calculadora la inversa del seno, arcsen no me da lo mismo.

    un saludo.


    replythumb_up0 voto/sflag
    icon

    Ángel
    el 29/1/17

    Ponlo en modo "Grados sexagesimales" y te dará eso. Esta correcto el ejercicio

    thumb_up1 voto/sflag
  • icon

    Andres Valenzuela
    el 29/1/17

    Tenga un buen día. He buscado ayuda y me encuentro aquí en unicoos, son los mejores de la red, los busco porque necesito ayuda e información, ya que dentro de 2 meses me evaluará una Universidad Politécnica, es un exámen para poder ingresar a la Universidad. Evaluarán en Físca, Química y Matemáticas; espero salir bien ya que la nota mínima es 6/10, pero los cupos son límitados y se obviamente se los queda los que tienen máximo puntaje, y si logro aprobar estaré en deuda con unicoos. 

    replythumb_up1 voto/sflag
    icon

    Ángel
    el 29/1/17

    Trabajando todo se consigue ;)

    Bienvenido!

    thumb_up0 voto/sflag
  • icon

    Deidara Stick.
    el 29/1/17

    Hola equipo unicoos, me podrian ayudar con un ejercicio de math.. 

    Gracias de antemano.

    replythumb_up0 voto/sflag
    icon

    Antonius Benedictus
    el 29/1/17


    thumb_up0 voto/sflag
  • icon

    Marta
    el 29/1/17

    Buenas no soy capaz de hacer este ejercicio podríais ayudarme por favor.

    Gracias.


    replythumb_up0 voto/sflag
    icon

    Deidara Stick.
    el 29/1/17

    ¿Qué pide el enunciado?

    ¿Hallar el valor de x, derivar?

    thumb_up1 voto/sflag
    icon

    Antonius Benedictus
    el 29/1/17


    thumb_up2 voto/sflag
    icon

    Axel Morales Piñón.
    el 29/1/17


    thumb_up2 voto/sflag