
Me encantaría ayudarte, pero no respondo dudas universitarias que no tengan que ver específicamente con los videos que ya he grabado como excepcion. O de otras asignaturas que no sean matemáticas, física y química. Lo siento de corazón… Espero lo entiendas
Ojalá algun unicoo universitario se anime a ayudarte (de hecho lo ideal es que todos los universitarios intentarais ayudaros los unos a los otros)
Buen día!!
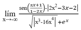
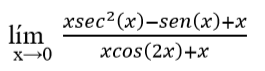
Podrían ayudarme con el procedimiento de estos límites, muchas gracias!! RESPUESTAS (-1/2, 1/2, No existe: Por qué?)
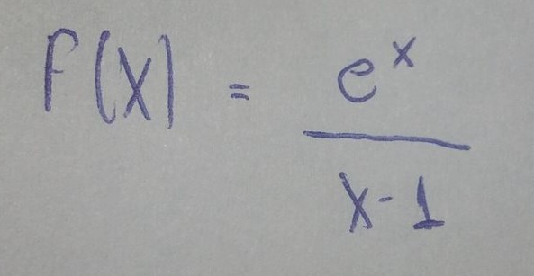
y me piden estudiar el crecimiento de f: lo cual me dio que es creciente en(2;+∞) con un minimo local =2
Luego me piden hallar los intervalos de concavidad positiva: en este punto halle la segunda derivada y la iguale a 0, me dio qe no existe un x por lo tanto no se anula nunca pero nose como responder
f´(x)= ex(x-2) / (x-1)2 y f´´(x) = ex(x2 -4x+5) / (x-1)3