Foro de preguntas y respuestas de Matemáticas

logo beUnicoos
Los foros de unicoos se han unificado en nuestra nueva plataforma beUnicoos. Para dejar nuevas preguntas deberás hacerlo allí, donde además podrás encontrar nuevas asignaturas y herramientas para ayudarte más con tus estudios.

  • icon

    Carmen Escobar Ruiz
    el 26/9/19

    Hola necesito ayuda con el siguiente problema no se hacerlo,  muchas gracias


    Dos hermanos se reparten las canicas de un bote. El primero se lleva 3/8 del total, mientras que el

    segundo obtiene las 55 restantes. ¿Cuántas contenía el bote?

    replythumb_up1 voto/sflag
    icon

    Sergio Valer Pérez
    el 26/9/19

    55 canicas son los 5 octavos restantes, divide entre 5 esas 55 canicas para saber qué es un octavo. Dará 11. Lo multiplicas por 3 y obtendrás 33 (Los tres octavos). Ahora suma 55+33= 88. Ahí tienes el resultado.

    thumb_up2 voto/sflag
    icon

    César
    el 26/9/19



    thumb_up1 voto/sflag
  • icon

    Carmen Escobar Ruiz
    el 26/9/19

    Hola Unicoos necesito ayuda con el siguiente ejercicio,  gracias

    replythumb_up0 voto/sflag
  • icon

    Sergio Valer Pérez
    el 26/9/19

    Hola, necesito saber la diferencia entre los números naturales, enteros y reales de una manera sencilla. También me gustaría saber cómo dibujar números enteros. Gracias y un saludo. 


    replythumb_up0 voto/sflag
    icon

    César
    el 26/9/19

    • Los Números Naturales «N» son todos los números mayores de cero* (algunos autores incluyen también el 0) que sirven para contar. No pueden tener parte decimal, fraccionaria, ni imaginaria. N = [1, 2 , 3, 4, 5…]

     

    • Los Números Enteros «Z» incluye al conjunto de los números naturales, al cero* y a sus opuestos (los números negativos). Es decir: Z = […-2, -1, 0, 1, 2…]

     

    • Los Números Racionales «Q» son aquellos que pueden expresarse como una fracción de dos números enteros. Por ejemplo: Q = [¼, ¾, etc.]

     

    • Los Números Reales «R» se definen como todos los números que pueden expresarse en una línea continua, por tanto incluye a los conjuntos anteriores y además a los números irracionales como el número «∏» y «e».

     

    • Los Números Complejos «C» incluye todos los números anteriores más el número imaginario «i». C = [N, Z, Q, R, I].

    thumb_up1 voto/sflag
  • icon

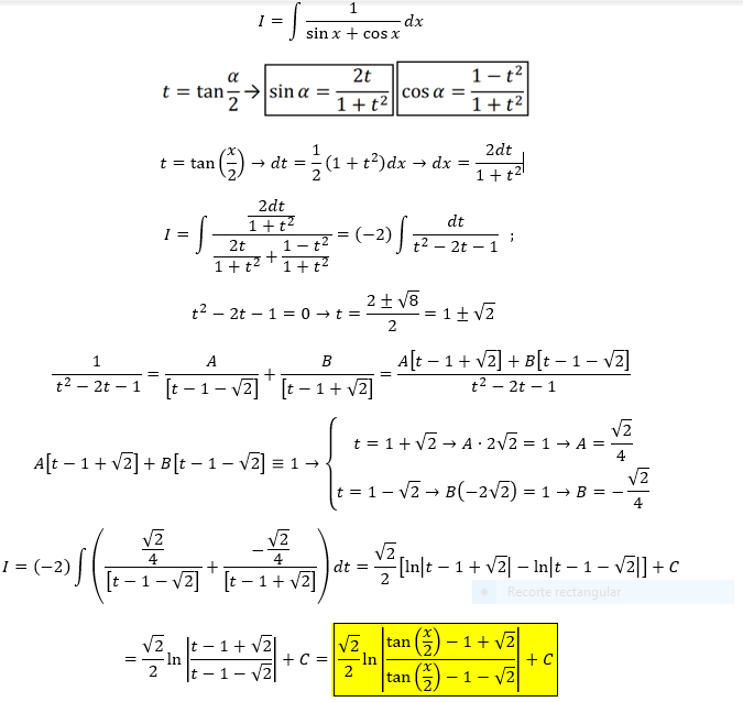
    Eduardo Castellón Castillo
    el 26/9/19

    ¿Me podrían ayudar a Integrar este ejercicio?


    replythumb_up0 voto/sflag
    icon

    Antonius Benedictus
    el 26/9/19


    thumb_up1 voto/sflag
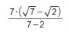
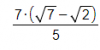
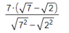
  • icon

    Oscar
    el 26/9/19

    Buenas,


    Tengo una duda respecto a realizar racionalizar el siguiente problema: 

     

    El proceso que sigo es el siguiente: 

    ==


    Aquí no se si deba continuar intentando algo o este debe ser el resultado, no sé cuando debo dejarlo como un resultado final, si pueden aconsejarme, lo agradecería. Gracias y un saludo.



    replythumb_up0 voto/sflag
    icon

    César
    el 26/9/19

    El objeto de racionalizar es eliminar las raíces del denominador. Una vez conseguido ya está.

    thumb_up1 voto/sflag
  • icon

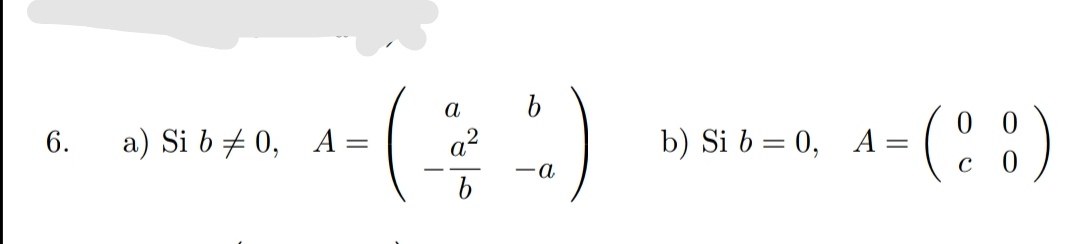
    Aroa García
    el 26/9/19

    Buenaas!! Alguien podría resolverme este ejercicio?? Tengo examen y no sé como hacerlo 😅😭

    • Halle todas las matrices cuadradas de orden 2, cuyo cuadrado es la mstriz nula. La solución que da es la siguiente :

    replythumb_up0 voto/sflag
    icon

    Antonius Benedictus
    el 26/9/19


    thumb_up0 voto/sflag
    icon

    Aroa García
    el 4/10/19

    Sigo sin entenderlo, por qué cuando t=-x se queda la x libre? 

    thumb_up0 voto/sflag
  • icon

    Luis
    el 26/9/19

    Me pueden ayudar con este ejercicio? No entiendo cómo puedo hacerlo. Muchas gracias.


    replythumb_up0 voto/sflag
    icon

    César
    el 26/9/19


    thumb_up1 voto/sflag
  • icon

    Yefer
    el 26/9/19
    flag

    hola unicoos me pueden orientar si el ejercicio esta bien resuelto situación
    problema: El diagrama auditivo muestra el rango de frecuencias, niveles de
    intensidad de los sonidos perceptibles por el oído humano, un oído normal solo
    escucha los sonidos contenidos en el intervalo del umbral auditivo y umbral del
    dolor. El eje horizontal expresa la dependencia de la frecuencia, el eje
    derecho es el valor de la intensidad. El oído humano solo puede percibir
    sonidos en variaciones de intensidad de



















     a


     en un valor de 20 a 20000Hz.


    replythumb_up0 voto/sflag
    icon

    David
    el 14/10/19

    Me encantaría ayudarte, pero no respondo dudas universitarias que no tengan que ver específicamente con los videos que ya he grabado como excepcion. O de otras asignaturas que no sean matemáticas, física y química. Lo siento de corazón… Espero lo entiendas

    Ojalá algun unicoo universitario se anime a ayudarte (de hecho lo ideal es que todos los universitarios intentarais ayudaros los unos a los otros)

    thumb_up0 voto/sflag
  • icon

    Rodrigo Loos
    el 26/9/19

    Buen día unicoos! tengo un pregunta, cuando el discriminante de una función es igual a 0, ¿posee puntos críticos? y ¿si las derivadas parciales segundas son igual a 0? gracias

    replythumb_up0 voto/sflag
    icon

    César
    el 26/9/19

    Pon ejemplo concreto .

    thumb_up0 voto/sflag
  • icon

    Maria G O
    el 26/9/19

    Hola,

    Alguien puede explicarme cómo calcular el valor de la variable que representa el tercer cuartil en un conjunto de datos? 

    Gracias!

    replythumb_up0 voto/sflag