Saludos Unicoos, si no es mucho molestar, me prestarían su ayuda con el siguiente ejercicio, me piden encontrar el área entre las funciones "r=4sin(θ)" y " r^2=8cos(θ)" me dan como respuesta !2+2π/3-2raiz(3)! se que la gráfica de la primera función es una circunferencia de radio 2 trasladada y la gráfica de la segunda función es una lemniscata. pero e tratado de resolverlo y no logro llegar al resultado, A demas que me a costado demasiado encontrar los puntos de corte, si me podrían ayudar diciéndome como debo plantear la doble integral y cuales son los limites de integración, estaría realmente agradecido.

Me encantaría ayudarte, pero no respondo dudas universitarias que no tengan que ver específicamente con los videos que ya he grabado como excepcion. O de otras asignaturas que no sean matemáticas, física y química. Lo siento de corazón… Espero lo entiendas
Ojalá algun unicoo universitario se anime a ayudarte (de hecho lo ideal es que todos los universitarios intentarais ayudaros los unos a los otros)
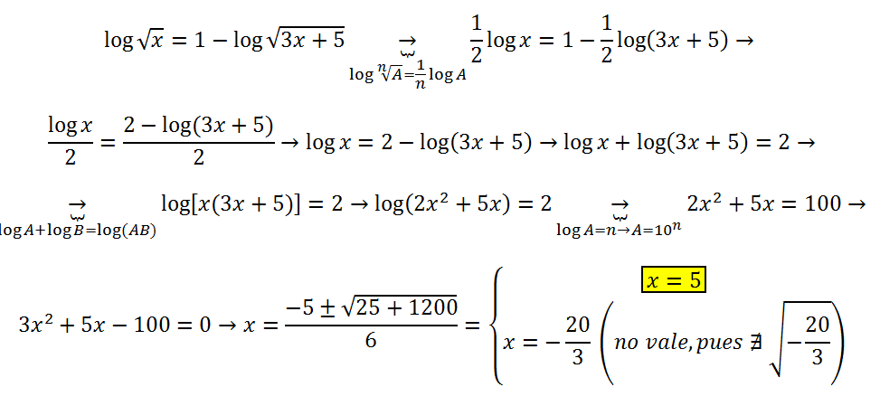
Antonio Benito, ¿me podría ayudar con esto? Mi profesor lo ha hecho por otro procedimiento que no he copiado. Además, me gustaría saber porqué otros métodos se puede resolver. Gracias de antemano. Saludos. P.D. Si no se ve, la ecuación es log√x=1-log√3x+5 y lo que hace es el método normal (Aislar el radical y elevar el cuadrado..)
buenas, necesito que alguien me ayude con el último apartado sólo, cuando te dan ambas soluciones de coseno1 y coseno2, como las asco? Es decir como sé que cada coseno puede pertenecer a más de un ángulo (el primero lo da la calculadora, pero el resto? ) Gracias de antemano
Cualquier relacion trigonometrica pertenece a dos ángulos. Te has de fijar en cuál angulo de otro cuadrante, este tiene el mismo seno o el mismo coseno. Por ejemplo, los del primer cuadrante con los del segundo tienen el mismo seno; y los del primer cuadrante con los del cuarto tienen el mismo coseno.
cos α= -1
En grados: α= 180º +/- (k*360º) , siendo k cualquier número entero α: {.........., -900º, -540º, -180º, 180º,540º, 900º............} grados
En radianes: α= pi +/- (k*2pi) , siendo k cualquier número entero α: {.........., -5pi/2, -3pi/2, -pi, pi, 3pi/2, 5pi/2............} radianes
Ambas formas de expresar el resultado son igualmente válidas, al poner lo que está en "negrita" es como si estuviéramos poniendo todos los posibles resultados sin necesidad de escribirlos ;)
¿Qué propiedad está relacionada con esto?
Comencemos con cualquier figura convexa. Sin
pérdida de generalidad podemos suponer que la longitud de su perímetro
es igual a 1. Entonces ejecutaremos el siguiente algoritmo:
Entonces, ¿qué propiedad está relacionada con esto? Algo como encontrar curva cerrada convexa poseía una longitud dada con el área más pequeña no funciona, obviamente.

Me encantaría ayudarte, pero no respondo dudas universitarias que no tengan que ver específicamente con los videos que ya he grabado como excepcion. O de otras asignaturas que no sean matemáticas, física y química. Lo siento de corazón… Espero lo entiendas
Ojalá algun unicoo universitario se anime a ayudarte (de hecho lo ideal es que todos los universitarios intentarais ayudaros los unos a los otros)
muchas gracias a ambos que me repsondieron este:
PERO no entiendo porque en la ecuación de partida se hace como 8 (300/x) + lo que sigue, en vez de -, no debería ser lo ganado menos lo pagado? es decir el beneficio del conductor no? hmm
Un transportista va de una ciudad A a otra B a una velocidad constante de x km/h por una carretera
en la que debe cumplirse que 35 < x < 55. El precio del carburante es de 0,6 euros el litro y el consumo
es de 10 + x^2
/120 litros por hora. El conductor cobra 8 euros por hora y la distancia entre A y B es
de 300 km. Halla la velocidad a la que debe ir para que el viaje resulte lo más económico posible.
Hola, tengo exámen el martes (matemáticas, sí este me lo han mandado en matemáticas aunque tiene más pinta de física) y los ejercicios de este tipo no soy capaz de hacerlos, me preguntaba si me podéis ayudar a resolver este para tener un ejemplo y hacer los demás, gracias! (hay que hacerlo con aplicación de integrales por eso no soy capaz)


Me encantaría ayudarte, pero no respondo dudas universitarias que no tengan que ver específicamente con los videos que ya he grabado como excepcion. O de otras asignaturas que no sean matemáticas, física y química. Lo siento de corazón… Espero lo entiendas
Ojalá algun unicoo universitario se anime a ayudarte (de hecho lo ideal es que todos los universitarios intentarais ayudaros los unos a los otros)
Un transportista va de una ciudad A a otra B a una velocidad constante de x km/h por una carretera
en la que debe cumplirse que 35 < x < 55. El precio del carburante es de 0,6 euros el litro y el consumo
es de 10 + x^2
/120 litros por hora. El conductor cobra 8 euros por hora y la distancia entre A y B es
de 300 km. Halla la velocidad a la que debe ir para que el viaje resulte lo más económico posible.

La velocidad es x km/h y la distancia es de 300 km; por tanto, como x es constante,
Además, ha de ser 35 < x < 55.
Buscamos x para que sea C(x) mínimo
Veamos que es un mínimo:
C''(52,92) > 0 en x = 52,92 hay un mínimo
C (35) = 172,5 euros; C (52,92) = 158,75 euros; C (55)= 158,86
Por
tanto, deberá ir a 52,92 km/h (el coste en este caso será de 158,75 euros).