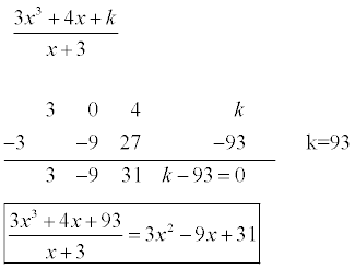
¡¡Buenas noches!! Mi pregunta es una tontería, pero puede causar un caos. El ejercicio es: halla la k de un polinomio: (3xelevado al cubo +2x +4x +k) ÷ (x+3)➡ Mi duda va relacionada con la "k" (aunque es una gran tonteria), yo a la hora de hallar la k, lo primero que hago es cambiar de signo al divisor (en este caso se dejaria en -3) y aplico el "-3" a: 3 (-3) elevado al cubo +2(-2)x +4 (-2)x +k (-2)⬅ esto último "+k(-2) no se si estará bien. Espero una respuesta. Muchísimas gracias.
Ali gasto 1/4 de sus ahorros en la compra de un celular y 1/3 menos de los que gasto en el celular , en la compra de un par de zapatos deportivos . ¿Que fraccion de sus ahorros gasto?
A)1/12 B)2/7 C)5/12 D)1/2 E)7/12
hola, me podeis ayudar con este ejercicio? Gracias
Obten el valor de "a" para que las rectas "r" y "s" se corten. ( tema de vectores)
r: x=y=z-a
s: (2x-1)/3= (y+3)/-2=(z-2)/0
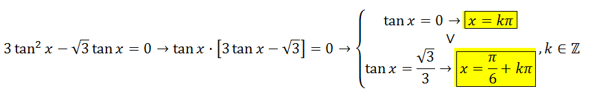
Hola me podrías resolver esta ecuación trigonométrica de 1 de bachillerato :
3tg²x-√3tgx =0

Primeramente expresa la expresión de la siguiente forma... que es transformando la raíz en forma de potencia..
3 tg2x -√3 tg x=0 luego sacamos factor común monomio... (se extraen los factores de menor potencia)
√3 tg x (√3 tg x -1)=
√3 tg x=0 ∧ (√3 tg x -1)=0
Para √3 tg x=0 .... Solución única dada por la calcu x=0 (La calcu escoger el menor angulo)x={...,-360,-180,0,180,360,...}
(la función tangente es periódica cada 180 grados) ...... entonces....... x=± nπ , n∈ Z (en radianes)
Para (√3 tg x -1)=0 .................. x={-390}
Para (√3 tg x -1)=0 ....Solución única dada por la calcu x=30 .. x={... , -210,-30,0,30 ,210, 390, ...}..... x=(π/6)±nπ , n ∈ Z (En radianes)
Ojo ambas expresiones o conjuntos son solución, una esta en grados y el otro en radianes.
Espero haber aportado ayudándote... Ojala entiendas . Saludos.