Hola María. ¿Lo has hecho tú o lo has sacado de algún sitio? Entiendo que el enunciado es la derivada de y=ln(x-1)/(lnx)^2 y lo que nos pones en el primer paso es la derivada de ese cociente y luego su "simplificación". Lo que no me cuadra es el numerador. A mí me da y'=(lnx-2ln(x-1))/x(lnx)^3
A ver si con esto es suficiente o te podemos ayudar algo más.
Saludos.

Me encantaría ayudarte, pero no respondo dudas universitarias que no tengan que ver específicamente con los videos que ya he grabado como excepcion. O de otras asignaturas que no sean matemáticas, física y química. Lo siento de corazón… Espero lo entiendas
Ojalá algun unicoo universitario se anime a ayudarte (de hecho lo ideal es que todos los universitarios intentarais ayudaros los unos a los otros)
------------------------------------------------------------------------ COMBINATORIA ---------------------------------------------------------------------------
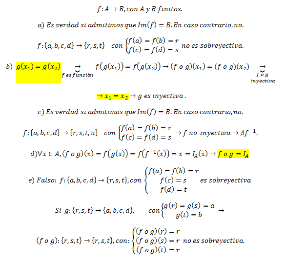
¿Cuál sera el número "n" de lados de un polígono para que el número de los lados coincida con el de diagonales? --->5
¿Y si se quiere que el número de diagonales sea el triple que el de lados?----------------------------------------------------------------->9
Buenos días.
Describe cómo podría determinar el conjunto de números para los cuales la expresión dada es un número real.
1) √2x -3 ≥0 ; 2x ≥ 3 ; x ≥ 3/2 y su dominio D= [0,+∞) ¿porque el dominio es 0 y no 1.5 ?
2) √4 -10x ≥0 ; -10x ≥ - 4 ; x ≤ - 4/ (-10) ;
El signo, ¿no debería cambiarse aquí´, que es cuando la fracción pasa a ser positiva? ¿Y porque, en la anterior se pone 0 y en esta no?
x ≤ 2/5 ; y su dominio D= (- ∞, 2/5]
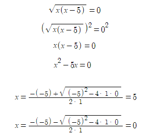
3) √x(x-5) ≥0 ; a) x ≥0 y x - 5 ≥ 0 ; x≥0 y x≥5 y su dominio D= [5, +∞)
b) x≤0 y x - 5≤ 0 ; x ≤ 0 y x ≤ 5 y su dominio D= (- ∞, 0] ¿Porque el infinito es negativo y el dominio es 0 y no 5?
gracias
1) √2x -3 ≥0 -------elevamos al cuadrado ambos miembros----------> (√2x -3)2 ≥ (0)2 ---------raíz cuadrada elevada al cuadrado, se anula---------->
2x-3 ≥ 0 -------------------sumamos 3 a ambos miembros----------> 2x-3+3 ≥ 0+3 -------resolviendo nos queda----------> 2x ≥ 3 ---
--dividimos por 2 ambos miembros-------> 2x/2 ≥ 3/2 ------dividimos entre 2 para obtener el dominio------> x ≥ 3/2
EL DOMINIO ES [3/2, ∞)
En las desigualdades no tienes que manipular los miembros de igual manera que en una ecuación, no tienes que "cambiar de signo" en ningún momento.
Ejemplo: -4x=4 --------> x=-1
-4x<4----------> -4x/-4<4/-4 -----------> x<-1
Aunque da el mismo resultado, no es exactamente el mismo proceso.
Para las desigualdades tienes que saber que se manipula así, y además no olvidar que cuando multiplicas por -1 ambos miembros se invierte la desigualdad, esto es, < se convierte en >, < en >, ≤ en ≥ y ≥ en ≤
Las raíces desaparecieron al elevar al cuadrado ambos miembros....el cero tambien lo elevamos al cuadrado, aunque evidentemente no cambió su valor
Hola gente de unicoos. Amigos quiero que me ayuden con un problema, del area que no domino, que es conjuntos..
Es el problema adjunto de la imagen, por favor lo necesito. Muchisimas gracias al colaborador que me ayude. Y que me explique un poquito xq me enrredo y me confundo demasiado una y otra vez cuando veo este tipo de ejercicios. Saludos.
Hola,
Como resultado de un ejercicio de integrales de línea me sale que tengo que calcular lo siguiente:
(K/2)*∫2t/t² dt
La integral es immediata, el problema lo tengo al evaluarla ya que los limites son entre 0 y 2π, y el ln(0) no existe. He probado con una integral impropia per tampoco me sale. En las soluciones pone que el resultado final tiene que ser: (K/2) *ln(1+4π²).