Foro de preguntas y respuestas de Matemáticas

logo beUnicoos
Los foros de unicoos se han unificado en nuestra nueva plataforma beUnicoos. Para dejar nuevas preguntas deberás hacerlo allí, donde además podrás encontrar nuevas asignaturas y herramientas para ayudarte más con tus estudios.

  • icon

    Jonathan Yañez
    el 9/12/16

    28.- Calcular el valor de x:

    a) V(5;X)  = 20
    ---------CREO QUE DEBERÍA QUEDAR ALGO ASÍ---------
    (5x4x3x2)/(3x2) --------No se como realizar el procedimiento. 

    replythumb_up1 voto/sflag
    icon

    Antonio Silvio Palmitano
    el 9/12/16

    Recuerda la expresión para las variaciones sin repetición, para este caso queda:

    V(5,x) = 5! / (5 -x)!, luego sustituyes a partir de la ecuación del enunciado y queda:

    20 = 5! / (5 -x)!, luego haces pasaje de divisor como factor, resuelves el numerador del segundo miembro y queda:

    20*(5 - x)! = 120, divides por 20 en ambos miembros y queda:

    (5 - x)! = 6, recuerda que 3! = 6, reemplazas y queda:

    (5 - x)! = 3!, comparas argumentos y queda:

    5 - x = 3, despejas y llega a:

    2 = x.

    Espero haberte ayudado.

    thumb_up1 voto/sflag
    icon

    Jonathan Yañez
    el 9/12/16

    No me quedo claro esto:

    (5 - x)! = 6, recuerda que 3! = 6, reemplazas y queda:

    (5 - x)! = 3!. ----------> Lo que hiciste fue reemplazar el 6 por 3!, ya que sabes que es lo mismo, pero si fuera un numero muy grande ¿como haces para aplicar el mismo razonamiento?
                                            -Si conoces un procedimiento que pueda aplicar siempre te lo agradecería.

    Gracias por tu tiempo y respuesta.

    thumb_up0 voto/sflag
    icon

    Antonio Silvio Palmitano
    el 9/12/16

    Si tienes que lidiar con factoriales de números mayores que 10, los deberás dejar expresados. Esta clase de comparación como hemos hecho es viable solo cuando trabajas con factoriales de números naturales menores que 10.

    thumb_up1 voto/sflag
  • icon

    Bikraj Singh
    el 9/12/16

    Buenas tardes, 


    ¿De cuántas maneras podemos ordenar en fila ocho personas A,B,C,D,E,F,G,H de manera que A y H ocupen los extremos de la fila y B y C estén siempre juntos?


    Muchas gracias.

    replythumb_up0 voto/sflag
    icon

    Antonio Silvio Palmitano
    el 9/12/16

    Tienes que ordenar ocho elementos con condiciones:

    1) A y H ocupan los extremos, por lo que tienes dos posibilidades: A - - - - - - H y H - - - - - - A, tienes en total: N1 = 2 posibilidades.

    2) B y C están siempre juntos, por lo que tienes diez posibilidades por cada una de las anteriores (recuerda que el primero y el último lugar ya están ocupados):

    - B C - - - - -, - - B C - - - -, - - - B C - - -, - - - - B C - -, - - - - - - B C -, y también:

    - C B - - - - -, - - C B - - - -, - - - C B - - -, - - - - C B - -, - - - - - - C B -, tienes en total: N2 = 10 posibilidades.

    3) Ordenamos a los demás elementos (D, E. F, G) en los cuatro lugares que todavía es´tan libres, por lo que tienes veinticuatro posibilidades por cada una de las anteriores, tienes en total: N3 = P(4) = 4! = 24 posibilidades.

    4) Aplicas el principio de multiplicación y el total queda:

    N = N1*N2*N3 = 2*10*24 = 480 posibiidades (maneras) para ordenar a ocho personas con las condiciones que impone el enunciado.

    Espero haberte ayudado.


    thumb_up2 voto/sflag
  • icon

    Wayner
    el 9/12/16

    beunas unicoos podrian revisar esta integral, me quede estancado... estara bien el procedimiento? como puedo terminar el ejercicio?


    replythumb_up0 voto/sflag
    icon

    Antonio Silvio Palmitano
    el 9/12/16

    Observa que para las sustituciones que has propuesto, el ángulo θ es el que tiene el vértice "más alto" en tu dibujo del triángulo.

    x/2 = secθ, de donde despejaste correctamente: x = 2*secθ, y luego tienes: dx = 2*secθ*tanθ*dθ;

    para el factor con la raíz tienes: √(x2 - 4)/2 = tanθ, de donde despejas y queda: √(x2 - 4) = 2*tanθ.

    Luego sustituyes y la integral queda:

    I = 8*sec3θ*2*tanθ*2*secθ*tanθ*dθ = 32*tan2θ*sec4θ*dθ = 32*∫ tan2θ*sec2θ*sec2θ*dθ = 32*∫ tan2θ*(1 + tan2θ)*sec2θ*dθ,

    luego aplicas el método de sustitución (cambio de variable):

    w = tanθ, de donde tienes: dw = sec2θ*dθ,

    luego sustituyes y la integral queda:

    I = 32*∫ w2*(1 + w2)*dw = queda para que continúes con la tarea.

    Espero haberte ayudado.


    thumb_up0 voto/sflag
  • icon

    Jous LR
    el 9/12/16

    ayudenme con este ejercicio, lo he tratado de hacer y no me da, el amarillo es la respuesta

    replythumb_up0 voto/sflag
    icon

    Wayner
    el 9/12/16

    Jous aqui esta... espero a verte ayudado!!

    thumb_up0 voto/sflag
  • icon

    Bryam L Maldonado
    el 9/12/16

    Por favor me podría  ayudar con este ejercicio?

    Es límite por definición.

    Gracias 


    replythumb_up0 voto/sflag
    icon

    Antonius Benedictus
    el 9/12/16


    thumb_up0 voto/sflag
  • icon

    Christian Buele
    el 9/12/16

    Que tal únicos. me podrían por fa ayudar con este. gracias 

    replythumb_up0 voto/sflag
    icon

    Antonius Benedictus
    el 9/12/16


    thumb_up1 voto/sflag
  • icon

    Carlos Ojeda
    el 9/12/16

    Hola, ¿cómo se resolvería esta matriz con complejos? quiero hallar I1 e I2 Gracias

    replythumb_up0 voto/sflag
    icon

    José Manuel
    el 9/12/16

    Utiliza el método de Cramer

    thumb_up1 voto/sflag
  • icon

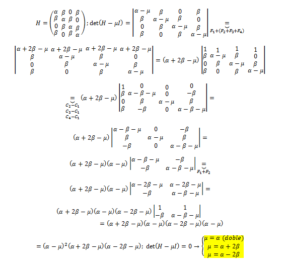
    Sonia
    el 9/12/16

    Me podeis ayudar con este ejercicio.

    replythumb_up0 voto/sflag
    icon

    Antonius Benedictus
    el 9/12/16

    Te  van los autovalores:


    thumb_up1 voto/sflag
    icon

    Sonia
    el 13/12/16

    Muchísimas Gracias!

    thumb_up0 voto/sflag
  • icon

    Carlos Martínez
    el 9/12/16

    Hola, me ayudan con esta integral? 1/(x^2-8x+80)

    replythumb_up0 voto/sflag
    icon

    Antonius Benedictus
    el 9/12/16


    thumb_up1 voto/sflag
  • icon

    Alex Domínguez
    el 9/12/16

    Hola, me ayudan a resolver la siguiente ecuación ? 

    -x2 + 152  = (15- xcos25)2 + (xsen25)2 

    Gracias !

    replythumb_up0 voto/sflag
    icon

    Antonius Benedictus
    el 9/12/16


    thumb_up0 voto/sflag