Foro de preguntas y respuestas de Matemáticas

logo beUnicoos
Los foros de unicoos se han unificado en nuestra nueva plataforma beUnicoos. Para dejar nuevas preguntas deberás hacerlo allí, donde además podrás encontrar nuevas asignaturas y herramientas para ayudarte más con tus estudios.

  • icon

    threza
    el 30/11/16
    flagflag

    Hola, como puedo resolver este sistema de ecuaciones diferenciales


    dx/dt=-ay+f(t)


    dy/dt=-bx


    Con valores iniciales; x(0)=0 , y(0)=51000


    El resultado es este 


    Pero no se ni por donde empezar, agradecería algo de Orientacion con esta ecuacion diferenciial


    saludos

    replythumb_up0 voto/sflag
    icon

    David
    el 30/11/16

    Me encantaría ayudarte, pero no respondo dudas universitarias que no tengan que ver específicamente con los videos que ya he grabado como excepcion. O de otras asignaturas que no sean matemáticas, física y química. Lo siento de corazón… Espero lo entiendas

    Ojalá algun unicoo universitario se anime a ayudarte (de hecho lo ideal es que todos los universitarios intentarais ayudaros los unos a los otros)

    thumb_up0 voto/sflag
  • icon

    Adrian Alex
    el 30/11/16

    Buenas tengo este problema de aplicacion de derivadas. El ejercicio pide la ecuacion de la recta tangente a f(x)= X3 + 2X2 - 4X + 5 ,en los puntos en los cuales es paralela a la recta 2y+8x-5. Primero "transforme" la recta a y = -8x+5 / 2 , luego saque su derivada para obtener la pendiente que me dio -4, luego iguale la funcion a ese -4 quedandome , x(3x+4) = 0,  y obtuve dos puntos x, x = 0 y x = -4/3. El problema que tengo es con el -4/3 ya que tratar de sacar su recta tangente da numeros muy complicados como 311/27 y siento que me he perdido. Eso es todo. Muchas gracias de antemano

    replythumb_up0 voto/sflag
    icon

    Antonio Silvio Palmitano
    el 30/11/16

    Es correcto tu procedimiento. Los puntos de tangencia son dos, uno con abscisa x = 0, y oro con abscisa x = -4/3. Vas bien, respira hondo y concluye tu tarea, porque los números son números y las cuentas se hacen.

    Espero haberte ayudado.

    thumb_up1 voto/sflag
  • icon

    Celeste
    el 30/11/16
    flagflag

    Hola!! Tengo una duda de índole matemática (trigonométrica mas que nada) en un problema de física, espero estar en el foro correcto :D

    El problema dice: Una masa de 0,5 kg está sujeta al extremo de un resorte horizontal. Para mantener el resorte estirado 10 cm se requiere aplicarle una fuerza de 2000 N. Cuando se comienza a describir el movimiento, el cuerpo se encuentra a 1,5 cm a la derecha de la posición de equilibrio con una velocidad de 0,40 m/s hacia la derecha. Determine constante elástica, período, Amplitud y fase inicial del movimiento.

    Hasta el momento de calcular el periodo no tengo problemas, pero cuando obtengo el angulo de fase y la amplitud encuentro que tengo dos (o más) formas de realizar los despejes de las ecuaciones y no obtengo el mismo resultado!!

    si utilizo x(t)=A cos (ωt+φ) como solución general obtengo φ=-0,042π y A=0,06 m

    si utilizo x(t)=A sen (ωt+φ) como solución general obtengo φ=0,457π  y A= 0,015 m (que creo que tiene más sentido), pero aún así no entiendo por qué debo usar tal o cual solución general (siendo que ambas cumplen con ser de solución de ecuación diferencial gral)


    replythumb_up0 voto/sflag
    icon

    David
    el 30/11/16

    Evidentemente no tiene nada que ver con matemáticas...
    Te sugiero dejes tu duda en el foro de FÍSICA, pero antes, por favor, revisa los vídeos de MOVIMIENTO ARMONICO SIMPLE... Movimiento Armónico Simple

    A partir de ahí, se trata de que DESPUES DE IR A CLASE (ver los vídeos relacionados con vuestras dudas) enviéis dudas concretas, muy concretas. Y que nos enviéis también todo aquello que hayais conseguido hacer por vosotros mismos. Paso a paso, esté bien o mal. No solo el enunciado. De esa manera podremos saber vuestro nivel, en que podemos ayudaros, cuales son vuestros fallos.... Y el trabajo duro será el vuestro. Nos cuentas ¿ok? #nosvemosenclase ;-)

    thumb_up1 voto/sflag
  • icon

    andres
    el 30/11/16


    replythumb_up0 voto/sflag
    icon

    Antonio Silvio Palmitano
    el 30/11/16

    Observa que las expresiones de los trozos corresponden a funciones continuas, por lo que queda solamente estudiar los puntos de corte.

    a) Para x = -1:

    1) f(-1) = evaluamos en el segundo trozo = (-1)2 - 1 = 1 - 1 = 0;

    2) límites laterales:

    Lím(x->-1-) f(x) = Lím(x->-1-) (x+a) = -1 + a,

    Lím(x->-1+) f(x) = Lím(x->-1+) (x2 - 1) = 0,

    igualamos y queda: - 1 + a = 0, de donde despejamos: a = 1;

    3) la función es continua en x = -1, si a = 1.

    b) Para x = 1:

    1) f(1) = evaluamos en el tercer trozo = ln(b);

    2) límites laterales:

    Lím(x->1-) f(x) = Lím(x->1-) (x2 - 1) = 0,

    Lím(x->1+) f(x) = Lím(x->1+) ln(b) = ln(b),

    igualamos y queda: ln(b) = 0, componemos con la función inversa del logaritmo natural y queda: b = e0= 1;

    3) la función es continua en x = 1, si b = 1.

    Espero haberte ayudado.

    thumb_up0 voto/sflag
  • icon

    andres
    el 30/11/16


    replythumb_up0 voto/sflag
    icon

    Antonio Silvio Palmitano
    el 30/11/16

    Vamos con los ejercicios, el primero por partes como te sugieren en el enunciado, y el segundo por sustitución.

    a) Planteamos: u = 2x - 1, de donde tenemos: du = 2dx, luego: dv = 3xdx, de donde tenemos: v = 3x/ln3, luego aplicamos el método y queda:

    I = uv - ∫ vdu = (2x - 1)3x/ln3 - (1/ln3) ∫ 3xdx (2x - 1)3x/ln3 - (1/ln3)23x + C.

    b) Planteamos la sustitución: w = x3 + 6x + 1, de donde tenemos: dw = (3x2 + 6)dx = 3(x2 + 2)dx, de donde despejamos: dw/3 = (x2 + 2)dx, luego sustituimos y queda:

    I = (1/3) ∫ (1/w)dw = (1/3) lnw + C = (1/3) ln(x3 + 6x + 1) + C.

    Espero haberte ayudado.

    thumb_up0 voto/sflag
  • icon

    andres
    el 30/11/16


    replythumb_up0 voto/sflag
    icon

    Antonius Benedictus
    el 30/11/16


    thumb_up0 voto/sflag
  • icon

    DueFreitas
    el 29/11/16

     Profe es correcto si me sale y'=0 ??

    replythumb_up0 voto/sflag
    icon

    Antonius Benedictus
    el 29/11/16


    thumb_up1 voto/sflag
  • icon

    JöïïtHä Ëlïï?äbth
    el 29/11/16

    buenas  tardes ayuda..!! como encuentro la matriz inversa por el método de gauss dada la matriz

    1 2 2

    1 2 1

    2 1 2

    pofavor ayuda..!!

    replythumb_up0 voto/sflag
    icon

    Antonio Silvio Palmitano
    el 29/11/16

    Partimos de la matriz doble (a la izquierda la matriz A y a la derecha la matriz identidad de orden 3):

    1    2    2      1    0    0

    1    2    1      0    1    0

    2    1    2      0    0    1

    A la fila 2 le restamos la fila 1, y a la fila 3 le restamos el doble de la fila 1:

    1    2    2      1    0    0

    0    0   -1    -1    1    0

    0   -3   -2    -2    0    1

    Permutamos la fila 2 con la fila 3:

    1    2    2      1    0    0

    0   -3   -2    -2    0    1

    0    0   -1    -1    1    0

    Multiplicamos a la fila 2 por -1/3:

    1    2    2      1     0     0

    0    1  2/3   2/3  0  -1/3

    0    0   -1     -1    1      0

    A la fila 1 le restamos el doble de la fila 2:

    1    0  2/3  -1/3   0   2/3

    0    1  2/3   2/3   0  -1/3

    0    0   -1     -1     1    0

    A la fila 1 le sumamos la fila 3 multiplicada por 2/3, y a la fila 2 le sumamos la fila 3 multiplicada por 2/3:

    1    0    0     -1    2/3     2/3

    0    1    0      0    2/3    -1/3

    0    0   -1     -1     1         0

    Multiplicamos a la fila 3 por -1:

    1    0    0     -1    2/3     2/3

    0    1    0      0    2/3    -1/3

    0    0    1      1    -1         0

    Observa que a la izquierda tenemos la matriz identidad, y a la derecha la matriz inversa de la matriz A.

    Recuerda que si la matriz A es invertible, tenemos que las mismas operaciones elementales que nos llevan desde la matriz A hasta la matriz identidad, son las que nos llevan desde la matriz identidad hasta la matriz inversa de A.

    Espero haberte ayudado.


    thumb_up1 voto/sflag
  • icon

    Juan Daniel Fontalvo Rivas
    el 29/11/16

    tengo este siguiente ejercicio, en estos momentos estoy dando el tema de derivada , quien me puede ayudar 

    replythumb_up0 voto/sflag
    icon

    Antonius Benedictus
    el 29/11/16


    thumb_up1 voto/sflag
    icon

    Juan Daniel Fontalvo Rivas
    el 29/11/16

    antonio una pregunta, tu restas y sumas uno aja, despues cuando llegamos al 1+1/x-c/2c  y eso elevado a la 2c/x-c  eso es igual 1+1/x porque da ese resultado me puede explicar 

    thumb_up0 voto/sflag
    icon

    Ángel
    el 30/11/16

    Observa que lim(x-->inf) 1+[1/(x-c/2c)]x-c/2c  es equivalente la definición del número e, que es:  lim(x-->inf) 1+[1/(X)]Xe,

    por lo que  lim(x-->inf) 1+[1/(x-c/2c)]x-c/2c e

    (aparece resaltado en amarillo en la resolución que te envió Antonio)


    thumb_up2 voto/sflag
  • icon

    Alberto Universidad
    el 29/11/16

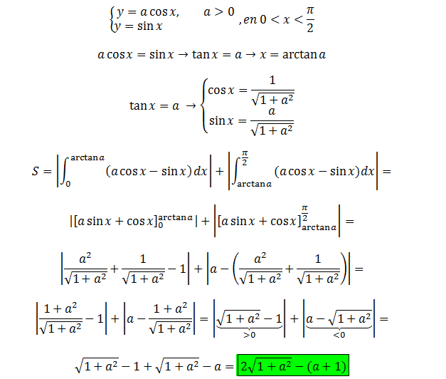
    Buenas noches, me he quedado enganchado con este problema porque no se muy bien como plantearlo:

    Calcular el área entre las curvas y= a cos x     e      y=sen x    eje OX entre 0 y pi/2.    Nota: a es un número real positivo

    Gracias anticipadas por la ayuda

    replythumb_up0 voto/sflag
    icon

    Antonius Benedictus
    el 29/11/16


    thumb_up1 voto/sflag
    icon

    Alberto Universidad
    el 29/11/16

    Muchas gracias. Había llegado a lo de la tangente y no sabía seguir. Me ha servido de mucha ayuda

    thumb_up0 voto/sflag