Es cierto que el número de ecuaciones implicitas de un subespacio vectorial es igual a la dimension del espacio vectorial menos la dimension de subespacio?
Entonces, si yo trabajo en R3 y mi subespacio tiene una dimension 3, no lo puedo expresar en forma implicita?

Recuerda que un espacio vectorial es subespacio de sí msmo. Por lo tanto, si tienes el espacio vectorial R3, cuya dimensión es 3, y tienes un subespacio (S) de él de dimensión 3, resulta: S = R3. luego, expresamos formalmente: S = {<x,y,z> ∈ R3}, sin ecuaciones implícitas, ya que las componentes del vector genérico son independientes unas de otras.
Espero haberte ayudado.
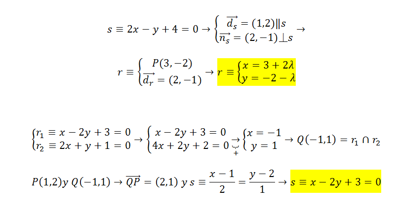
1. Obtén las ecuaciones parametricas de la recta (r) que pasa por P (3,-2) y es perpendicular la recta 2x-y+4=0
2. Halla la ecuación implícita de la recta que pasa por (s) P(1,2) y por el punto de corte de las rectas r1:x-2y+3=0 y r2:2x+y+1=0
Ayuda por favor no se resolver estos dos ejercicios

1) Puedes plantear el vector director de la recta r: u = <a,b>, cuyas componentes debemos determinar.
Luego, puedes plantear la ecuación continua (o simétrica de la otra recta, tienes:
2x - y + 4 = 0, haces pasajes de términos y queda:
2x = y - 4, haces pasaje de factor como divisor y queda:
x = (y - 4)/2, que también puedes escribir en la forma:
(x - 0)/1 = (y - 4)/2, luego tienes el vector director: v = <1,2>.
Luego, como las rectas son perpendiculares, tenemos que sus vectores directores son perpendiculares y el producto escalar entre ellos es igual a cero, y planteamos:
u • v = 0, sustituimos las componentes de los vectores:
<a,b> • <1,2> = 0, desarrollamos el producto escalar:
a + 2b = 0, de donde despejamos y queda: a = - 2b,
luego, expresamos al vector director:
u = <a,b> = <-2b,b> = b<-2,1>, por lo que tenemos que el vector: u = <-2,1> (o cualquier múltiplo escalar no nulo de él) es un vector director de la recta r.
Luego, pasamos a las ecuaciones cartesianas paramétricas de la recta r:
x = 3 - 2t
y = -2 + t
t ∈ R:
2) Comencemos por plantear el sistema de ecuaciones para encontrar el punto de corte entre las rectas r1 y r2:
x - 2y + 3 = 0, de donde despejamos: x = 2y - 3 (*)
2x + y + 1 = 0
luego sustituimos en la segunda ecuación y queda:
2(2y - 3) + y + 1 = 0, distribuimos, reducimos términos semejantes y queda:
5y - 5 = 0, de donde despejamos: y = 1 (**),
luego reemplazamos en la ecuación señalada (*), resolvemos y queda: x = -1,
por lo que tenemos que la recta s pasa por el punto de corte: Q(-1,2).
Luego, con las coordenadas de los puntos P y Q, planteamos la pendiente de la recta s:
m = (2 - 2)/(-1 - 1) = 0/(-2) = 0.
Luego pasamos a su ecuación cartesiana, para lo que empleamos las coordenadas del punto P y la pendiente:
y - 2 = 0(x - 1), resolvemos el segundo miembro y queda:
y - 2 = 0, que es la ecuación cartesiana implícita de la recta s.
Espero haberte ayudado.
A partir de aquí no entendí ↓
<a,b> • <1,2> = 0, desarrollamos el producto escalar:
a + 2b = 0, de donde despejamos y queda: a = - 2b,
luego, expresamos al vector director:
u = <a,b> = <-2b,b> = b<-2,1>, por lo que tenemos que el vector: u = <-2,1> (o cualquier múltiplo escalar no nulo de él) es un vector director de la recta r.
Luego, pasamos a las ecuaciones cartesianas paramétricas de la recta r:
x = 3 - 2t
y = -2 + t
t ∈ R:
Alguien me puede ayudar a resolver esto, lo he intentado muchas veces y no me sale. Creo que me equivoco al sustituir que me queda la fracción al cuadrado y multiplicada por otro número. ES UN SISTEMA:
2x^2+3y^2=35
5x-2y=4

Tienes el sistema de ecuaciones:
2x2 + 3y2 = 35
5x - 2y = 4, de donde puedes despejar: x = (4+2y)/5 (*),
luego sustituyes en la primera ecuación y queda:
2( (4+2y)/5 )2 + 3y2 = 35, desarrollamos el cuadrado en el primer término y queda:
2(16 + 16y + 4y2)/25 + 3y2 = 35, multiplicamos por 25 en todos los términos de la ecuación, distribuimos el primer término y queda:
32 + 32y + 8y2 + 75y2 = 875, hacemo, s pasaje de término, reducimos y ordenamos términos y queda:
83y2 + 32y - 843 = 0, cuyas soluciones son:
a) y = 3, luego reemplazas en la ecuación señalada (*), resuelves y queda: x = 2;
b) y = -281/83, luego reemplazas en la ecuación señalada (*), resuelves y queda: x = -46//83.
Luego, concluimos que el sistema tiene dos soluciones:
S1: x = 2, y = 3;
S2: x = -46/83, y = -281/83.
Espero haberte ayudado.
Buenas tardes. Tengo la siguiente duda.Si me piden volumen de revolucion, en torno al eje x y al eje y. Supongamos que la curva generatriz es y=x^2
La duda es:
Para hacer el volumen que gira en el eje x, el radio seria y=x^2 osea r=x^2?
Para el volumen que gira en torno al eje y, el radio seria x=raiz de y, osea r=raiz cuadrada de y?
Eso es lo que tengo un poco cruzado
Hola buenas, ¿Alguien podría ayudarme con este ejercicio que se me esta atravesando? Gracias de antemano.
Estudia el crecimiento y la curvatura de la siguiente función. Halla sus máximos, mínimos y puntos de inflexión:
Crecimiento/decrecimiento
1. Hacemos la primera derivada: f´(x)= -2x+(x3-x2)/2
2. Obtenemos las raíces de la primera derivada (puntos en los que se hace cero)
-2x+(x3-x2)/2=0------->2x=(x3-x2)/2-------->4x= x3-x2--------> x3-x2-4x=0------> x(x2-x-4)=0
x1=0, x2=(1+√17)/2, x=(1-√17)/2
3. Formamos intervalos representando en la recta real los valores de x1, x2 y x3
4. Tomamos un valor al azar (y a nuestra conveniencia)de cada intervalo y hallamos el signo que tiene en f´(x)....por ejemplo, para estudiar el intervalo [ (1+√17)/2, infinito)] lo lógico sería probar con calculadora o por tanteo que (1+√17)/2 es 2.56 y entonces sustituimos x=3 en f´(x)
Si f'(x) > 0 es creciente Si f'(x) < 0 es decreciente

Llamemos:
x: cantidad de páginas diarias que lee Óscar, a: cantidad de días que tarda Óscar en leer la novela;
y: cantidad de páginas diarias que lee Bea, b: cantidad de días que tarda Bea en leer la novela;
z: cantidad de páginas diarias que lee Ainhoa, cantidad de días que tarda Ainhoa en leer la novela:
N: cantidad de páginas que tiene la novela.
Luego tenemos, a partir del enunciado:
x = y + 3 (Óscar lee diariamente tres páginas más que Bea),
y = z + 9 (Bea lee diariamente nueve páginas más que Ainhoa);
a = b - 1 (Óscar tarda un día menos que Bea en leer la novela),
b = c - 4 (Bea tarda cuatro días menos que Bea en leer la novela).
Luego, tenemos para la cantidad de páginas de la novela:
N = xa (cantidad de páginas diarias leídas por Óscar, multiplicada por la cantidad de días que tarda en leer la novela),
N = yb (cantidad de páginas diarias leídas por Bea, multiplicada por la cantidad de días que tarda en leer la novela),
N = zc (cantidad de páginas diarias leídas por Ainhoa multiplicada por la cantidad de días que tarda en leer la novela),
Luego, tienes el sistema de siete ecuaciones con siete incógnitas:
x = y + 3 (*)
y = z + 9, de donde despejas: y - 9 = z (**)
a = b - 1 (***)
b = c - 4, de donde despejas: b + 4 = c (****)
N = xa
N = yb (*****)
N = zc
Luego, sustituyes las expresiones señaladas (*) (**) (***) (****) (*****) en las demás ecuaciones y el sistema queda:
yb = (y + 3)(b - 1)
yb = (y - 9)((b + 4)
desarrollas los segundos miembros, cancelas términos y queda:
0 = - y + 3b - 3, de donde puedes despejar: y = 3b - 3 (******)
0 = 4y - 9b - 36
luego sustituyes en la segunda ecuación y queda:
0 = 4(3b - 3) - 9b - 36, distribuyes, reduces términos semejantes y queda:
0 = 3b - 48, de donde puedes despejar: b = 16;
luego reemplazas en la ecuación señalada (******), resuelves y queda: y = 45,
luego reemplazas en la ecuación señalada (*****), resuelves y queda: N = 720 (que es la respuesta que pide el enunciado del problema);
luego reemplazas en la ecuación señalada (****), resuelves y queda: 20 = c;
luego reemplazas en la ecuación señalada (***), resuelves y queda a = 15;
luego reemplazas en la ecuación señalada (**), resuelves y queda: 36 = z;
luego reemplazas en la ecuación señalada (*), resuelves y queda: x = 48.
Luego, concluimos que la obra tiene 720 páginas, y que:
Óscar leyó 48 páginas diarias y tardó 15 días en leerla,
Bea leyó 45 páginas diarias y tardó 16 días en leerla,
Ainhoa leyó 36 páginas diarias, y tardó 20 días en leerla.
Espero haberte ayudado.
En el vídeo de "Combinatoria: Permutaciones con repetición" sale como ejemplo un ejercicio el cuál dice "Formar números de 9 cifras con estos elementos: 222233344".
¿Son permutaciones con repetición porque se repiten los elementos (2 (4 veces), 3 (3 veces) , 4(2 veces)) o porque al crear la cifra de 9 dígitos podemos repetirlos?
¿Si el ejercicio fuera "Formar números de 9 cifras con los elementos siguientes: 123456789" seguiría siendo de permutación con repetición?