
Me encantaría ayudarte, pero no respondo dudas universitarias que no tengan que ver específicamente con los videos que ya he grabado como excepcion. O de otras asignaturas que no sean matemáticas, física y química. Lo siento de corazón… Espero lo entiendas
Ojalá algun unicoo universitario se anime a ayudarte (de hecho lo ideal es que todos los universitarios intentarais ayudaros los unos a los otros)
Me podríais ayudar con este sistema de ecuaciones trigonométricas: x + y = π/2
sen x + cos y= √2
(no escribo la llave porque no se)
Estoy intentando hacerlo por sustitución de la x pero llega un momento en el que la segunda se me queda así sen(π/2) + cos y = √2 ; ¿Qué tendría que hacer a continuación?
Buenas tardes, me han explicado en clase de mates ( voy a 4 de eso) las parábolas, hallar vértice y dados tres puntos representar la función.Hasta aquí bien, pero ayer me explicaron la TRASLACION vertical , horizontal y oblicua. No me han dado ejercicios para hacer, me podrías ayudar? ,, cuando la parábola de origen es y = x2, es fácil hacer la traslación pero que pasa si me piden traslación oblicua y vertical a la vez?
Gracias
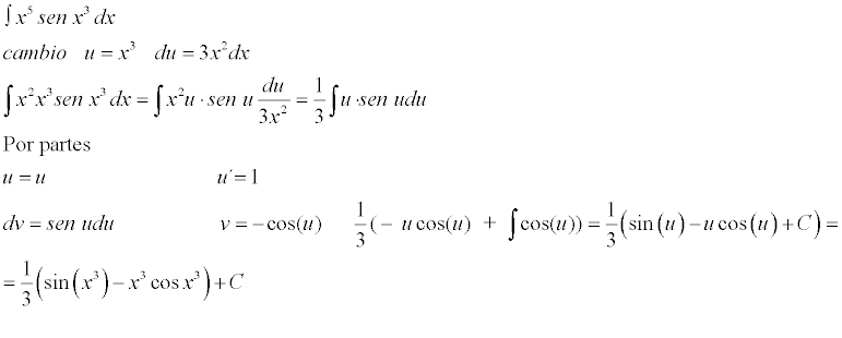
Como se resuelven sumatorios infinitos como por ejemplo ∑NI=-N 16i ??

Me encantaría ayudarte, pero no respondo dudas universitarias que no tengan que ver específicamente con los videos que ya he grabado como excepcion. O de otras asignaturas que no sean matemáticas, física y química. Lo siento de corazón… Espero lo entiendas
Ojalá algun unicoo universitario se anime a ayudarte (de hecho lo ideal es que todos los universitarios intentarais ayudaros los unos a los otros)
Hola, he intentado hacer este ejercicio de continuidad y derivabilidad, no sé si está bien:
Este es el enunciado:
Calcular los parámetros a y b para que las siguientes funciones sean derivables en todo el eje real. Gracias

El fallo, GRAVE, es que en la ecuacion senπ = a. π + b, al sustituir a=cosπ, te queda senπ=cosπ. π + b, pero NO PUEDES MULTIPLICAR π.π...
Es como si te digo que halles el cos(45) .2 y haces cos(45.2)=cos90.. que estaría mal.
En resumen , te queda la ecuacion trignometrica, senπ=π. cosπ + b...
Pero no hacia falta comerse tanto el tarro... Ten en cuenta que cosπ=-1... Y que senπ=0.... Por tanto, inicialmente 0=a.π+b y tambien a=cosπ= -1
0=(-1).π+b.... b=π...