Foro de preguntas y respuestas de Matemáticas

logo beUnicoos
Los foros de unicoos se han unificado en nuestra nueva plataforma beUnicoos. Para dejar nuevas preguntas deberás hacerlo allí, donde además podrás encontrar nuevas asignaturas y herramientas para ayudarte más con tus estudios.

  • icon

    Jose
    el 15/9/19

    Solo puedo sacar ese triangulo,que mas podria hacer,la respuesta es 1/12,gracias.

    replythumb_up0 voto/sflag
    icon

    Jose Ramos
    el 15/9/19


    thumb_up1 voto/sflag
    icon

    Jose
    el 16/9/19

    Porque el triangulo EOC es semejante a aob?,gracias

    thumb_up0 voto/sflag
  • icon

    Jose
    el 15/9/19

    Nose que mas hacer ahi ,nose si hice algo mal ,porque la respuesta es uno ,gracias¡

    replythumb_up0 voto/sflag
    icon

    Jose Ramos
    el 15/9/19


    thumb_up0 voto/sflag
    icon

    Jose
    el 16/9/19

    Porque son 45º? ,gracias

    thumb_up0 voto/sflag
  • icon

    Mauricio Heredia
    el 15/9/19

    Alguien me podría decir o ayudar para hallar el perímetro de la siguiente figura?    Tal vez con una integral. 


    replythumb_up0 voto/sflag
    icon

    Jose Ramos
    el 15/9/19

    El problema está en la longitud de la rama senx + 4, que viene dada por la integral definida desde 0 hasta 2π  de la función √(1+ cos2x   que no es elemental.  Las demás te las dejo apuntadas en la figura.


    thumb_up0 voto/sflag
    icon

    Mauricio Heredia
    el 15/9/19

    Gracias y una consulta. La longitud de la parabola como encontró el valor de  9,3 o se resolvió la integral . 


    thumb_up0 voto/sflag
    icon

    Jose Ramos
    el 15/9/19

  • icon

    monicius
    el 15/9/19

    Buenas,

    la siguiente pregunta el resultado es la d, ¿podríais decirme si es ese porque no se puede sacar esa operación con esos datos?



    En esta la respuesta es la a, no sé si no la entiendo muy bien, como hace para que le dé eso?



    Yo pensé en lo siguiente pero no me dá:



    Gracias.

    replythumb_up0 voto/sflag
    icon

    Jose Ramos
    el 15/9/19

    La respuesta correcta es la d) porque la operación indicada da 0.  -w(2u+v) = -2wu - wv = -2(-1)-2 = 0.  Puesto que el producto escalar es conmutativo.

    thumb_up0 voto/sflag
    icon

    Jose Ramos
    el 15/9/19

    Se trata de una derivación implícita. El resultado es a): Derivamos la expresión y nos queda:


    thumb_up0 voto/sflag
  • icon

    monicius
    el 15/9/19

    Hola Buenas a todos, 


    Tengo varias dudas: las primeras son de probabilidad se como hacer para que me de el resultado pero creo que yo no lo haría así.



    Pregunta 31 solución la b, creo que hacen 150/1000 pero yo hubiera hecho una probabilidad condicionada



    Y en la 32 dicen que es la b: yo hice lo siguiente me gustaría saber si está bien:




    Gracias.

    replythumb_up0 voto/sflag
    icon

    Jose Ramos
    el 15/9/19

    Yo lo haría así:


    thumb_up0 voto/sflag
  • icon

    Mauro Prado Alejandro
    el 15/9/19

    como podría demostrara esto


    replythumb_up0 voto/sflag
    icon

    Antonius Benedictus
    el 15/9/19


    thumb_up0 voto/sflag
  • icon

    Jose
    el 14/9/19

    Como podria resolver eso,gracias¡

    replythumb_up0 voto/sflag
    icon

    Clow
    el 15/9/19

    Debes generar una proporción basada en semejanza de triángulos.

    Sabes que el lado AC mide 15, y el lado AB mide 10. Al lado del cuadrado le llamaremos x.

    Con esos datos sacamos, por ejemplo, que el segmento DC mide 15-x.

    Entonces trabajaremos con los triángulos CDF y ABC, estableceremos una proporción porque son semejantes.

    El cateto mayor de CDF mide 15-x, mientras que el cateto mayor de ABC mide 15. 

    El cateto menor de CDF mide x (es el lado del cuadrado), mientras que el cateto menor del ABC mide 10.

    Así que:

    Despejas la x de esa expresión y listo.

    El resultado es x=6

    Por tanto la respuesta es la A.


    thumb_up1 voto/sflag
    icon

    Jose
    el 15/9/19

    Muchas gracias Clow lo explicaste muy bien,lo entendi perfectamente¡¡

    thumb_up1 voto/sflag
  • icon

    Jose
    el 14/9/19

    Nose que mas puedo hacer con esos datos,que mas se podria hacer?,muchas gracias¡

    replythumb_up0 voto/sflag
    icon

    Jose Ramos
    el 15/9/19

    Solución la A.


    thumb_up0 voto/sflag
    icon

    Jose
    el 15/9/19

    Gracias Jose

    thumb_up0 voto/sflag
  • icon

    Oswaldo Huerta
    el 14/9/19

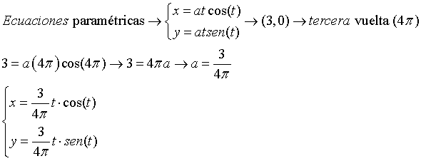
    La espiral de arquímides se define mediante la ecuación matemática:


    r=a+bθ


    Obtenga la ecuación paramétrica de una espiral de arquímides en el espacio 2d, tal que en su tercer

    vuelta, la punta de la espiral se encuentre a en las coordenadas cartesianas (3,0).

    Alguien que me pueda explicar esto de la aspiral de aquimides?

    replythumb_up0 voto/sflag
    icon

    César
    el 15/9/19


    thumb_up1 voto/sflag
  • icon

    Fernando Bo
    el 14/9/19

    Hola Alguien por favor me puede ayudar con este ejercicio de álgebra lineal por favor. Gracias

    replythumb_up0 voto/sflag
    icon

    Clow
    el 14/9/19

    Sea T: V→W una transformación lineal, T es un isomorfismo si T es inyectiva y suprayectiva.

    Si V y W son espacios vectoriales, con dim(V) =dim(W)=n y T: V→W es una transformación lineal, tal que T(v)=v entonces T es un isomorfismo.

    Demostración:

    Como T(v)=v es la identidad, entonces Nuc(T) ={0} y por lo tanto, T es inyectiva y como dim(V) =dim(W), por lo tanto Im(T)=W y por consiguiente T es suprayectiva, así T es un isomorfismo.


    thumb_up0 voto/sflag