Hola unicoos, para hallar la intersección y la suma de tres subespacios, ¿se sigue el mismo procedimiento que con dos o cambia algo?
Hola Unicoos!. Tengo este ejercicio para ver si podían ayudarme con el, he intentado pero no consigo resolverlo. Aproximar, mediante la formula de la integral doble, el volumen de un sólido comprendido entre la superficie Z = f (x,y), y una región rectangular en el plano xy

El concepto es sencillo. Se tiene una función de dos variables f(x,y) que define una superficie; y una región rectangular R: [a,b] x [c,d] = {(x,y)∈R^2: a≤x≤b , c≤y≤d}. El volumen del sólido generado entre ambas superficies es la integral doble de la función f sobre la región rectangular:
V=∬Rf(x,y) dx dy = ∫ab ∫cdf(x,y) dx dy

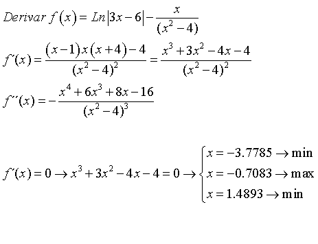
Si el denominador es x²-4, el dominio de la funcion es R-{-2, 2}...
Los limites cuando x->oo son correctos.
No así el limite cuando x tiende a 2... cuando haces el limite cuando x tiende a 2 por la izquierda el limite valdrá -∞ . .Te quedará numero-(-∞ )=∞
Y el limite por la derecha te quedará número - ∞ = -∞
Te faltaría hacer los limites laterales cuando x tiende a -2...