Usa la gráfica de la función f a para responder a la siguiente pregunta. Suponga que la intersección x está en 16 y la intersección y está en 32.
El número f (2) es igual a:
a) 36
b) 31
c) -36
d) 33
e) 28
f) Ninguna de las anteriores

Observa que cada lado de un cuadrito del gráfico cartesiano comprende ocho unidades,
y observa que el valor x = 2 corresponde al tramo intermedio del gráfico, que es un segmento de recta cuyos extremos son los puntos (16,0) y (0,32), por lo que planteas la ecuación cartesiana explícita de la recta que contiene a este tramo (te dejo la tarea), y queda:
y = -2x + 32.
Luego, evalúas para el valor en estudio (x = 2), y queda:
y = -2(2) + 32, resuelves, y queda:
y = 28,
por lo que puedes concluir que el valor de la función correspondiente es:
f(2) = 28,
por lo que tienes que la opción señalada (e) es la respuesta correcta.
Espero haberte ayudado.
Alguien me puede ayudar? Gracias de antemano
En cierta escuela, el 65% de los estudiantes compraron entradas para una obra de teatro y el 60% compraron entradas para un partido de fútbol. ¿Al menos qué porcentaje de los estudiantes deben haber comprado entradas para ambos eventos?

Recuerda la expresión de la cantidad de elementos de la unión de dos conjuntos que no son disjuntos:
|T∪F| = |T| + |F| - |T∩F| (1).
Luego, si llamas x a la cantidad total de alumnos de la escuela, y si supones que todos los alumnos han comprado al menos una entrada, puedes plantear:
|T∪F| = x,
|T| = 0,65x ("el 65 % de los estudiantes compraron entradas para una obra de teatro"),
|F| = 0,60x ("el 60 % de los estudiantes compraron entradas para un partido de fútbol"),
|T∩F| = a determinar ("cantidad de alumnos que compraron entradas para ambos eventos");
luego, sustituyes expresiones en la ecuación señalada (1), y queda:
x = 0,65x + 0,60x - |T∩F|, reduces términos semejantes en el segundo miembro, y queda:
x = 1,25x - |T∩F|, sumas |T∩F| y restas x en ambos miembros, y queda:
|T∩F| = 0,25x,
por lo que puedes concluir que el 25 % de los alumnos de la escuela han comprado entradas para ambos eventos.
Espero haberte ayudado.
Hola unicoos, ¿me pueden ayudar con este ejercicio de estadística?
Dada una tabla estadística bidimensional donde las variables toman solo dos valores cada
una, si consideramos la matriz asociada a sus frecuencias 𝐴 = (𝑛𝑖𝑗)
𝑖=1,2; 𝑗=1,2
¿Qué importante
consecuencia estadística podemos obtener si el rango de esta matriz es 1?

De entrada lo que veo es que si el rango es 1, las dos variables son linealmente dependientes, es decir y = kx donde k es la constante de proporcionalidad. El coeficiente de correlación lineal es 1 (si k>0) y -1 (si k<0). Por otra parte la ecuación de la recta de regresión de y sobre x es precisamente y = k.x
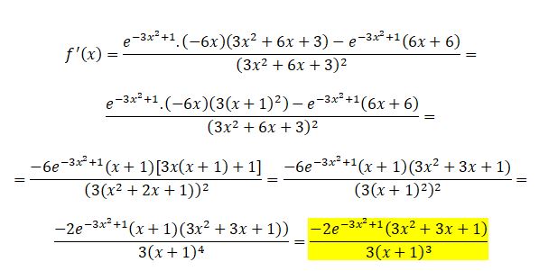
Derivar f: f(x)= (e^(-3x2+1))/(3x2+6x+3)
Quisiera saber si lo que hice es correcto, y en ese caso cómo podría simplificarlo.

Considera la expresión del numerador:
N(x) = e-3x^2+1 (1), cuya derivada tiene la expresión:
N'(x) = e-3x^2+1*(-6x) = -6*x*e-3x^2+1 (2).
Considera la expresión del denominador
D(x) = 3x2 + 6x + 3 = 3*(x2 + 2x + 1) (3), cuya derivada tiene la expresión:
D'(x) = 3*(2x + 2) = 3*2*(x +1) = 6*(x + 1) (4).
Luego, aplicas la Regla de la derivada de una división de funciones, y queda:
f '(x) = ( N'(x)*D(x) - N(x)*D'(x) ) / ( D(x) )2 (5).
Luego, considera el numerador de la expresión de la función derivada señalada (5):
N'(x)*D(x) - N(x)*D'(x) =
sustituyes las expresiones señaladas (2) (3) en el primer término, y las señaladas (1) (4) en el segundo término, y queda:
= -6*x*e-3x^2+1*3*(x2 + 2x + 1) - e-3x^2+1*6*(x + 1) =
resuelves coeficientes en ambos miembros, y queda:
= -18*x*e-3x^2+1*(x2 + 2x + 1) - 6*e-3x^2+1*(x + 1) =
extraes factores comunes (-6*e-3x^2+1), y queda:
= -6*e-3x^2+1*( 3*x*(x2 + 2*x + 1) + x + 1 ) =
distribuyes el primer término en el agrupamiento, reduces términos semejantes, y queda:
= -6*e-3x^2+1*( 3*x3 + 6*x2 + 4*x + 1 ),
factorizas la expresión polinómica en el agrupamiento (observa que -1 es una sus raíces, por lo que puedes aplicar la Regla de Ruffini), y queda:
= -6*e-3x^2+1*(x + 1)*(3*x2 + 3*x + 1) (6).
Luego, considera el denominador de la expresión de la función derivada señalada (5), y queda:
( D(x) )2 =
sustituyes la expresión señalada (3), y queda:
= ( 3*(x2 + 2x + 1) )2 =
distribuyes la potencia, resuelves el primer factor, y queda:
= 9*(x2 + 2x + 1)2 =
factorizas el trinomio cuadrado perfecto que es base de la potencia, y queda:
= 9*( (x + 1)2 )2 =
resuelves la potencia en el segundo factor, y queda:
= 9*(x + 1)4 (7).
Luego, sustituyes las expresiones señaladas (6) (7) en la expresión general de la función derivada señalada (5), y queda:
f '(x) = -6*e-3x^2+1*(x + 1)*(3*x2 + 3*x + 1) / ( 9*(x + 1)4 ),
simplificas coeficientes, simplificas factores, y queda:
f '(x) = -2*e-3x^2+1*(3*x2 + 3*x + 1) / ( 3*(x + 1)3 ),
Espero haberte ayudado.
Hola, alguien podría ayudarme a resolver el ejercicio 4 de vectores y rectas?
Y en el ejercicio 5, hay que calcular su módulo del vector que se consiga con los 2 puntos, ¿no?
Muchas gracias!

4) La recta pedida es x - 2y + C = 0 (las paralelas conservan los coeficientes de x y de y, cambia la constante).
Como pasa por el punto (4, -1), se verifica que 4- 2(-1)+C = 0, de donde C = -6. La solución es : x - 2y -6= 0
5) La distancia entre dos puntos es el módulo del vector que los une. d (A, B) = |AB|=|(7, -6)| = √72 +(-6)2 = √85