Unicoos saludos, Por favor, me podrian ayudar con las siguientes demostraciones de algebra, de verdad se los pido. sinceramente no se de donde partir para poder demostrarlas.
Buenas tardes, podrían ayudarme con esta demostración, creo que me saldrá en un parcial y no se como hacerla.
El profesor nos dijo que debíamos hacerlo para ambos lados por el "si y solo si"
Gracias desde ya!
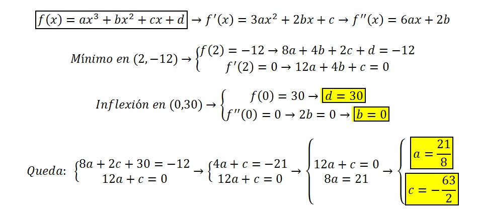
Hola buenas, es una duda con un ejercicio de Matemáticas de 2Bach, Dic asi: Determina los coeficientes de la función polinomica f(x)= ax^3 + bx^2 +cx + d para que asi y= f(x), tenga un Minimo en el P=(2, -12) y un Punto de Inflexion en el Q= (0, 30). Yo he averiguado B y D, pero no se como seguir para averiguar C y A, por favor necesito ayuda.
hola buenas tardes:
¿Me podrían ayudar con este problema de matemáticas financieras?
Una persona distribuyó 10.000€ en dos préstamos. El primero al 12% le ha producido el doble de intereses que el otro al 9%, colocados el mismo periodo de tiempo. Halla la cantidad que colocó a cada tipo de interés.
Muchas gracias.

Llamamos X al capital puesto al 9%
Llamamos (10000-X) al capital puesto al 12%
Como los tiempos son iguales podemos escribir: (10000-X)·0.12=X·0.09→1200-0.12X=0.09X→1200=0.21X→X=1200/0.21=5714.28; 10000-5714.28=4285.72
Solución: Capital puesto al 12% =4285.72 Capital puesto al 9% =5714.28
Comprobamos: 4285.72·0.12=514.28; 5714.28·0.09=514.28 (Vemos que se cumple que los intereses son iguales). Un Saludo.
Tengo un pequeño problema con el siguiente ejercicio, y si no es mucho pedir me gustaría que me lo explicaseis aparte de resolverlo, he entendido que para llegar a hacer las operaciones tengo que pasar "z" a forma polar el poblema es que me queda √2 de 185º, y las operaciones con raiz no las manejo, primero saber si z es igual a √2 de 185º, por que sale 45 pero al ser cos negativo he hecho 180-45 es correcto?
Esas son las dudas gracias aqui esta el ejercicio

El módulo de z es, efectivamente: |z| = V(2). Observa que si graficas, a z le corresponde un punto del segundo cuadrante, por lo que su argumento está comprendido entre 90° y 180°. planteamos entonces: tan(t) = 1/(-1) = -1, luego componemos con la función inversa de la tangente y queda: t = 135°. Luego:
a) El procedimiento es dividir los módulos y restar los argumentos: z/w = |V(2) / 2|(135° - 30°) = |V(2)/2|(105°).
b) El procedimiento es elevar el módulo y multiplicar el argumento por el exponente: z^4 = | ( V(2) )^4 |(4 * 135°) =|V(16)|(540°) = |4|(540° - 360°) = |4|(180°).
c) El procedimiento para sumar es hacerlo en forma binómica, para ello tenemos: w = 2( cos30° + i*sen30° ) = V(3) + i, y luego nos queda:
z + w = -1 + i + V(3) + i = ( -1 + V(3) ) + 2i.
Espero haberte ayudado.

Comencemos por plantear la ecuación explícita de la parábola:
y = (-1/6)*x^2 (puedes verificar Q(6,-6) pertenece a la parábola, porque al reemplazar sus coordenadas se verifica la igualdad), luego derivamos y queda:
y ' = (-1/6)*2x = (-1/3)*x,
luego evaluamos para x = 6 y queda:
y ' (6) = (-1/3)*6 = -2, que es la pendiente de la recta tangente a la parábola en el punto Q, por lo tanto, la ecuación cartesiana de la recta tangente queda:
y - (-6) = -2(x - 6), desarrollamos y queda:
y + 6 = -2x + 12, luego hacemos pasaje de término, resolvemos y queda:
y = -2x + 6.
Espero haberte ayudado.