Unicoos me ayudan con el siguiente ejercicio:
Dos vértices de un triangulo isósceles se encuentran en (0,0) y (5,2). Si el segmento comprendido entre estos puntos, es uno de los lados iguales del triángulo, determina todas las posibilidades de números enteros para el tercer vértice.
Si se consideran números reales en lugar de enteros para el triangulos anterior. ¿ cuales son los puntos ?

a)
1)
Debes tener en cuenta que la integral (al igual que la derivada) es separable en términos:
I = Integral (1 + x^4 + cosx)*dx =
= Integral 1*dx + Integral x^4 * dx + Integral cosx*dx =
(aquí debes recurrir a una tabla de primitivas, que son las funciones que obtenemos cuando integramos)
= x + (1/5)x^5 + senx + C, donde C es una constante arbitraria.
Para verificar, derivamos:
I ' = 1 + (1/5)*5x^4 + cosx + 0 = 1 + x^4 + cosx, que es la función que teníamos para integrar al principio.
2) En este caso, debemos apelar al Método de Sustitución (o de Cambio de Variable), por lo que planteamos:
w = 7 + x^4, luego derivamos: w ' = 0 + 4x^3 = 4x^3, luego planteamos su diferencial:
dw = w ' * dx reemplazamos y queda:
dw = 4x^3 * dx, y por último despejamos la expresión que forma parte de la expresión de la función que debemos integrar:
(1/4)dw = x^3 * dx.
Ahora estamos en condiciones de sustituir, y la integral queda:
I = Integral (1/w)*(1/4)*dw = (1/4) Integral (1/w)*dw = (recuerda que un factor constante puede ser extraído de la integral)
= (1/4)*ln(w) + C
Luego volvemos a la sustitución y reemplazamos w por su expresión en función de x y llegamos a:
I = (1/4)*ln(7 + x^4) + C.
Para verificar, derivamos:
I ' = (1/4) * (1 / (7 + x^4)) * 4 * x^3 = x^3 / (7 + x^4), que es la expresión de la función que teníamos para integrar al inicio.
3)
I = Integral ( 2 + 2 / x^3 ) * dx = reescribimos el segundo término, según propiedades de las potencias y queda:
= Integral ( 2 + 2 * x^(-3) ) * dx = separamos la integral en términos y queda:
= Integral 2*dx + Integral 2 * x^(-3) * dx = extraemos factores constantes y queda:
= 2 * Integral 1*dx + 2 * Integral x^(-3) * dx = luego resolvemos "buscando antiderivadas" y queda:
= 2*x + 2 * (-1/2) * x^(-2) + C = luego resolvemos y aplicamos propiedad de las potencias en el segundo término y llegamos a:
= 2*x - 1 / x^2 + C.
Puedes verificar la solución planteando su derivada, la que debe coincidir con la función que teníamos para integrar al inicio.
En tu consulta pides aprender, para ello te sugiero que busques los vídeos de integración, en los que está muy claro este tema, y que también busques una tabla de primitivas ("antiderivadas") y algunas lecturas a partir de libros.
Espero haberte ayudado.
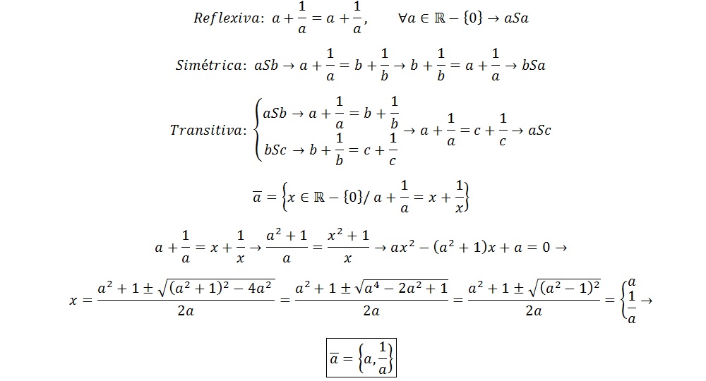
Hola amigos necesito ayuda con este ejercicio, no entiendo como averiguar si ⅔ y 4⁄5 estan en la misma clase....yo trate de mostrar que 4/5 esta en la clase de ⅔ pero no termino de entender

Observa que si 2/3 está relacionado con 4/5 entonces debe existir un número entero z tal que:
2/3 = 4/5 + z/3
luego empezamos a despejar:
2/3 - 4/5 = z/3
-2/15 = z/3
-2/15 * 3 = z
-2/5 = z, que no pertenece al conjunto de los números enteros, por lo tanto tenemos que 2/3 y 4/5 pertenecen a clases de equivalencia diferentes.
Espero haberte ayudado.
Hola me pueden ayudar con esto, si el área total de un cilindro circular recto es 360πcm², y la medida de la altura del cilindro equivale a cuatro veces la longitud del radio de la base, entonces, ¿entonces cual es el el área lateral (en cm²) de dicho cilindro?

Empecemos por los elementos del cilindro:
R: radio de su base,
H: altura del cilindro
Tenemos entonces:
A = 2pi*R^2 + 2pi*RH (observa que contamos el área de las dos bases y de la superficie lateral), y en el enunciado tenemos que A = 360pi, por lo que planteamos la ecuación:
2pi*R^2 + 2pi*RH = 360pi dividimos en todos los términos por 2pi y queda:
R^2 + RH = 360 (***)
También tenemos en el enunciado una relación entre la altura del cilindro y el radio de su base, por lo tanto planteamos la ecuación:
H = 4R (*** ***)
Luego sustituimos en la ecuación señalada (***) y queda:
R^2 + R*4R = 360 resolvemos en el segundo término de la izquierda y queda:
R^2 + 4R^2 = 360 reducimos términos semejantes y queda:
5R^2 = 360 dividimos por 5 en ambos miembros y queda:
R^2 = 72 hacemos pasaje de potencia como raíz y llegamos a:
R = V(72) cm,
luego reemplazamos en la ecuación señalada (*** ***) y queda:
H = 4*V(72) cm.
Vamos ahora a la expresión del área lateral (AL) de un cilindro circular recto:
AL = 2pi*RH
reemplazamos los valores que hemos calculado y queda:
AL = 2pi*V(72)*4*V(72) ordenamos factores, resolvemos y queda:
AL = 8pi*(V(72))^2 = 8pi*72 = 576pi cm^2.
Espero haberte ayudado.

Vamos a verlo:
El área total (At) es el área de la dos bases (Ab) más el área lateral. Vamos a calcularlas:
Ab= 2·(π·r²)=2πr²
Al= 2·π·r·h=2πrh: Como h es 4r tenemos: 2πr·4r=8πr² ( Ya estaría contestada, en función del radio, pero vamos a calcular el radio y la altura, así practicamos)
At=Ab+Al=2πr²+8πr²=10πr²
Igualando a su valor tenemos: 10πr²=360π→r=√360π/10π=√36= 6 cm→r=6 cm. Como h=4r=4·6=24 cm
Al=8pi·r^2=288pi cm^2
Te lo he completado con más datos que te piden. Un saludo.
Expresa los siguientes conjuntos como intervalos, cuando sea posible:
A = { X/X E R ^ -2 menor x menor o igual 5 }
B = { X/X E Z ^ -1 menor o igual x menor 4 }
C es el conjunto formado por las temperaturas de hoy en tu ciudad de origen.
D es el conjunto de las áreas posibles para los círculos de diámetro menor o igual 15

Observa:
a) -2 < x <= 5, A tiene elementos que son números reales, entonces A = (-2 , 5].
b) -1 <= x < 4, B tiene elementos que son números enteros, por lo tanto no puede ser expresado como intervalo.
c) Llamemos Tm a la temperatura mínima en el día de hoy, y TM a la temperatura máxima en el día de hoy, por lo tanto C = [ Tm , TM ] (observa que la temperatura va tomando valores reales dentro del intervalo).
d) El diámetro máximo es 15, por lo que el radio máximo es 7,5 y el área máxima es AM = pi*7,5^2 = 56,25pi, el diámetro mínimo puede ser muy pequeño pero no puede ser igual a cero, por lo tanto D = ( 0 , 56,25pi ] (observa que el área va tomando valores reales dentro del intervalo).
Espero haberte ayudado.
Este ni te cuento. Como si fuera chino para mi...
Tengo que calcular el volumen de un tronco con 11 cm de altura, si las bases tienen radios de 12 cm y 8cm respectivamente.
Son ejercicios de un cuaderno de verano de 3ºESO. Estoy ayudando a mi hijo ( lo que puedo, las mates son para mi un infierno ) y me faltan para acabar 4 ejercicios...y como decía aquel famoso intelectual ; "No siento las piernas..."
De nuevo gracias por vuestra ayuda ¡¡¡
Bueno, supongamos que sea un tronco recto, que eso quiere decir que la forma es como si fuera un tubo y las bases son perpendiculares al eje del mismo tubo...
Consideremos el volumen interno sea el del cilindro de 8 cm (V8), y el externo el de 12 cm (V12), que en este caso la pared externa del tronco está inclinada desde 12 cm de radio al de 8 cm de radio.
Ahora empecemos a calcular.
- Calcula el volumen del cilindro de 8 cm de radio. V8
- Calcula el volumen del cilindro de 12 cm de radio. V12
- Ahora, calculamos el volumen de la zona que es más dificil de calcular, la externa. V12 - V8. Este volumen, que es el que pertenece a la zona inclinada. Como está inclinado y esa inclinacion es una recta, podemos considerar el volumen externo, como la mitad del volumen de V12 - V8.
- Suma el volumen interno más el volumen externo para calcular el volumen total. Vt= V8+(V12-V8)/2
Espero que se entienda algo.
Saludos.

A ver, Jaume, te explico:
Se trata de un tronco de como. Su volumen es: Semisuma de las bases por la altura: (B+b)/2·H
Área Base B= π·r²=π·12²=144π cm²
Area Base b= π·r²=π·8²=64π cm²
calculamos la semisuma de ambas bases: (144π+64π)/2=104π cm²
Por último Hallamos el Volumen= (B+b)/2·H=104π·11=1144π cm³
Un saludo.
Hola a tod@s. Como hallo el volumen de una pirámide de base cuadrada con 10 cm por lado y una arista lateral de 13 cm ?
He llegado a lo que es la formula ;
V=1/3 del area de la base X (h) la altura.
Pero ahí me quedo. No se hallar la altura que es la única incógnita que me falta.
Gracias ¡¡¡