
a)
Tienes la expresión:
5 / ( √(3) - √(7) ) =
multiplicas al numerador y al denominador por la expresión "conjugada" de este último, y queda:
= 5( √(3) + √(7) ) / ( √(3) - √(7) )( √(3) + √(7) ) =
desarrollas el denominador (observa que tienes una suma de términos por su resta), y queda:
= 5( √(3) + √(7) ) / ( 3 - 7 ) =
resuelves el denominador, y queda:
= 5( √(3) + √(7) ) / (-4) =
multiplicas por -1 al numerador y al denominador, y queda:
= -5( √(3) + √(7) ) / 4.
Espero haberte ayudado.

Multiplicas por 30 en todos los términos de la ecuación, simplificas, y queda:
5*(3x + 2) + 15*(2x - 3) = 6*(x + 5), distribuyes en todos los términos, y queda:
15x + 10 + 30x - 45 = 6x + 30, reduces términos semejantes en el primer miembro, y queda:
45x - 35 = 6x + 30, restas 6x y suma 35 en ambos miembros, y queda:
39x = 65, divides por 39 en ambos miembros, simplificas, y queda:
x = 5/3, que es la solución de la ecuación:
luego, planteas la expresión de su recíproco (o inverso multiplicativo), y queda:
1/x = 3/5,
por lo que puedes concluir que la opción señalada (a) es la respuesta correcta.
Espero haberte ayudado.
Hola! Alguien me puede explicar como se resuelve esto? Gracias!
Al departamnento de diseño grafico de una empresa se le encarga la realizacion de un volante publicitario que pagaran tres empresas en funcion del espacio que ocupe cada aviso. La empresa A ocupa el 0,28 del area imprimible, la empresa B los 5/9 del resto y lo que queda se destina a la empresa C.
A) Calcular el porcentaje del total imprimible que se usa para cada aviso.
B) Si area B mide 180 cm2, calcular el area total imprimible. Proponer un unico calculo que permita obtener el area que ocupa la empresa C.
C) Suponiendo que el volante y los avisos rectangulares, proponer un posible diseño con las medidas correspondientes.
D) Las empresas B y C son flexibles en cuanto al espacio que ocupan. Si la empresa B redujera su espacio en un 5%, ¿en que porcentaje se aumentaria el espacio destinado a la empresa C?¿Cuales serian las nuevas areas (en cm2)?

A)
pA = 0,28*100 = 28 %,
y observa que "el resto" del área imprimible es: 1 - 0,28 = 0,72;
pB = ( (5/9)*0,72 )*100 = 0,40*100 = 40 %,
y observa que "lo que queda" del área imprimible es: 1 - 0,28 - 040 = 1 - 0,68 = 0,32.
pC = 0,32*100 = 32 %.
B)
Puedes designar con x al valor del área imprimible;
luego, tienes para el área B:
0,40*x = 180 cm2, divides por 0,40 en ambos miembros, y queda: x = 450 cm2;
luego, puedes llamar AC al valor del área C, y tienes:
AC = 0,32*x, reemplazas el valor del área total, y queda: AC = 0,32*450 cm2, resuelves, y queda: AC = 144 cm2.
C)
Puedes designar a las medidas del área imprimible como: a (ancho) y L (largo),
luego, podrías todos los avisos tengan el ancho del área imprimible, y que sus largos sean proporcionales a las porciones del área imprimible que ocupan, por lo que las medidas de los avisos serían:
ancho: a, largo: 0,28*L, para el aviso A;
ancho: a, largo: 0,40*L, para el aviso B;
ancho: a, largo: 0,32*L, para el aviso C.
D)
Planteas la expresión de la nueva área de del aviso B, y queda:
AB' = AB - (5/100)*AB, sustituyes la expresión del área del aviso B (recuerda que es: 0,40 = 40 % del área imprimible), y queda:
AB' = 0,40*x - (5/100)*0,40*x, sustituyes el valor del área imprimible, y queda:
AB' = 0,40*450 - (5/100)*0,40*450, resuelves términos, y queda:
AB' = 180 - 9 (*) (en cm2), resuelves, y queda:
AB' = 171 cm2, que es el valor de la nueva área del aviso B,
y observa que en el último término de la ecuación señalada (*) tienes que el área liberada por el aviso B es: 9 cm2;
luego, planteas la expresión de la nueva área del aviso C, y queda:
AC' = AC + 9, reemplazas el valor del área C, y queda:
AC' = 144 + 9 (**) (en cm2), resuelves, y queda:
AC' = 153 cm2, que es el valor de la nueva área del aviso C;
luego, planteas la expresión del aumento porcentual del área C con respecto a su valor original, y queda: (9/144)*100 = 6,25 %.
Espero haberte ayudado.
Hola mas que todo queria saber si usan un editor de texto matemático llamado Math Magic y si me podrían recomendar alguna configuración por ejemplo se me dificulta que los exponentes se mantengan en relación con las bases osea al tamaño de la fuente,o no se si tengan un editor offline mas eficiente, yo usaba el editor Equation editor que es un plugin de chrome que me va fantástico pero no siempre tengo red, y me parece algo molesto el editor de word lo uso si estoy muy desesperado, y otro que es buenisimo es el Math editor de Android pero solo se puede ejecutar en celulares y no es tan buena la relación de tamaño.
Aunque hay un programa llamado MathType pero no se me agrega muy bien al word.
Gracias por su atención.
Hola, ¿me pueden ayudar con esta pequeña duda de Estadística?
Imaginen un estudio estadístico cualquiera donde te dan datos agrupados y te piden hallar la mediana. Si utilizando por ejemplo la columna de frecuencias absolutas acumulativas hay una frecuencia que iguala a N/2, ¿por qué consideramos como mediana el promedio entre el valor de esta frecuencia y el siguiente?

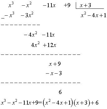
El truco de este tipo de divisiones es en ver primero el grado del polinomio y colocarte arriba esos "términos" sin olvidarte del término independiente [TI] (lo escrito en rosa).
Segundo, debajo de eso colocarte tan solo los números, las cifras. No olvidarse de los signos negativos que acompañan a los números.
Tercero, (donde está el círculo rosa) hay que colocar el término independiente del divisor SIEMPRE CON EL SIGNO CONTRARIO.
Cuarto, bajar abajo el primer término para así poder hacer el quinto paso, multiplicar, en este caso, el -3 por el 1 (flechas naranjas).
Sexto, sumar o restar según el caso. En este caso, el resultado de la multiplicación es -3, por tanto, con el -1 de arriba habrá que sumar dándonos el resultado de -4.
Séptimo, hacer lo mismo hasta llegar al término independiente. Y el resultado que nos de encasillarlo porque va a ser el resto.
Octavo, es sacar el cociente. El truco está en colocarte primero los números resultantes de las sumas y las restas, respectivas, con un poco de espacio y luego, comprobando el grado del polinomio, escribimos el siguiente grado menor (escrito en morado).
Y eso sería todo. Espero que te haya ayudado.
La primera se considera ecuación de primer grado porque el término x2 , de cualquier lado del igual, lo cambias al otro lado del igual eso acaba siendo 0. Es decir,
x2 - x2 + 3x + 5 = - 1 [Fíjate que solo he movido x2 y lo he puesto al lado del término con el mismo grado]
3x + 5 = -1
Para que la tercera ecuación no sea de primer grado primero tenemos que tomar en cuenta que la primera x también está dentro de la raíz.
La segunda ecuación no se considera de primer grado porque las raíces también pueden expresarse como potencias. Y sabiendo que el índice es 2 el término √2x en potencia seria (2x)1/2 , por tanto, no es de primer grado.
Espero que te haya ayudado.