tengo esta raíz : ^8√ab³ * ^6√2a²b² . Y he llegado a este resultado: ^48√ (a^6 * b^18) * (2^8*a^16*b^16) y no se si está bien : por si me podeís corregirla. Nota: el seis , el ocho y el cuarenta y ocho son los índices de las raíces.
Hola Unicos!!. Necesito que me digan por favor si esta bien que la derivada de f(x)= 1/(1+x) , f´(x)=0?
Buen dia. Necesito que me hechen una cuerda con este ejercicio. Lo que no entiendo es, como plantearlo.Lo unico que hize fue graficar el centro, y coomo dice que la conica es tangente a ambos ejes,entonces la distancia del centro a los puntos de tangencia..podria ser a o b.Pero no entiendo bien como plantearlo.Gracias
¡Hola! Tengo problemas al sacar |A| para discutir los sistemas según los diferentes valores de un parámetro. Sé sacar la matriz y continuar el ejercicio cuando tengo |A|. Ojalá podáis ayudarme
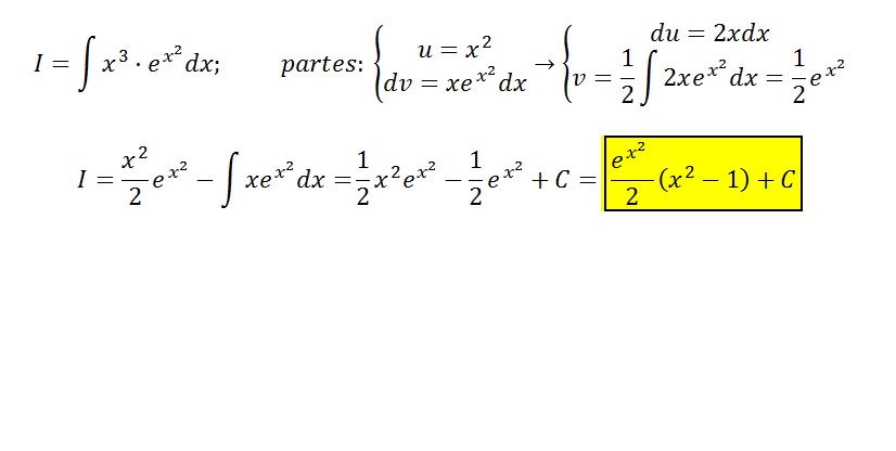
Saludos cordiales amigos Unicoos, por favor me podrian ayudar con un problema de integración se que debo hacer por partes pero nose como tomar u y dv. Gracias :)
Hola amigos unicoos, les pido ayuda extrema con la siguiente integral, se los pido de favor, tengo examenes, por fa no me digan que noo. Esperare vuestra ayuda. Vale.
Muchas gracias de antemano. Saludos.
∫ x²(6x²-5)^(1/2) dx

Observa bien el radicando, que puede ser escrito: 5*((6*(x^2)/5) -1), para luego platear la sustitución S1: x =(V(5/6))*senhw, de la que tenemos: dw = (V(5/6))*coshw*dw;
luego sustituimos en la integral, extraemos factores constantes y queda:
I = (5*V(5)/6) * Integral ((senhw)^3 * dw) =
= (5*V(5)/6) * Integral ((senhw)^2 * senhw * dw)= (aplicamos identidad hiperbólica)
= (5*V(5)/6) * Integral (((coshw)^2 - 1) * senhw * dw)
Ahora volvemos a sustituir:
t = coshw, de donde tenemos que dt = senhw * dw, sustituimos y la integral queda:
I = (5*V(5)/6) * Integral (t^2 - 1) * dt = (ahora puedes continuar.
Espero haberte ayudado.